学习笔记|线性支持向量机的支持向量
【摘要】 线性支持向量机学习的原始问题是其对偶问题是对偶问题的KKT条件为(可参见学习笔记|广义拉格朗日函数与KKT条件的应用)令对偶问题的解为参考文献【1】统计学习方法(第2版),李航著,清华大学出版社
线性支持向量机学习的原始问题是
其对偶问题是
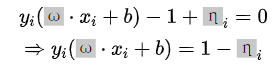
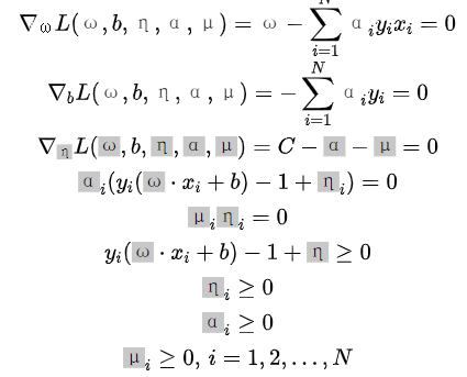
对偶问题的KKT条件为
令对偶问题的解为




参考文献
【1】统计学习方法(第2版),李航著,清华大学出版社
【版权声明】本文为华为云社区用户转载文章,如果您发现本社区中有涉嫌抄袭的内容,欢迎发送邮件进行举报,并提供相关证据,一经查实,本社区将立刻删除涉嫌侵权内容,举报邮箱:
cloudbbs@huaweicloud.com
- 点赞
- 收藏
- 关注作者
评论(0)