学习笔记|线性支持向量机
【摘要】 线性可分问题的支持向量机学习方法,对线性不可分训练数据是不适用的,因为这时上述方法中的不等式约束并不能都成立。(可参见学习笔记|线性可分支持向量机学习的间隔最大算法)怎么才能将它扩展到线性不可分问题呢?这就需要修改硬间隔最大化,使其成为软间隔最大化。假设给定一个特征空间上的训练数据集有了上面的思路,可以和训练数据集线性可分时一样来考虑训练数据集线性不可分时的线性支持向量机学习问题。相应于硬间...
线性可分问题的支持向量机学习方法,对线性不可分训练数据是不适用的,因为这时上述方法中的不等式约束并不能都成立。(可参见学习笔记|线性可分支持向量机学习的间隔最大算法)怎么才能将它扩展到线性不可分问题呢?这就需要修改硬间隔最大化,使其成为软间隔最大化。
假设给定一个特征空间上的训练数据集




有了上面的思路,可以和训练数据集线性可分时一样来考虑训练数据集线性不可分时的线性支持向量机学习问题。相应于硬间隔最大化,它称为软间隔最大化。
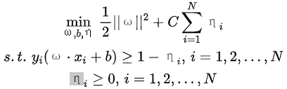
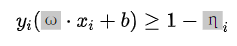
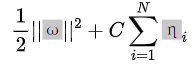
线性不可分的线性支持向量机的学习问题变成如下凸二次规划问题(原始问题):
原始问题是一个凸二次规划问题,因而关于(ω,b,η)的解是存在的。可以证明ω的解是唯一的,但b的解可能不唯一,而是存在于一个区间。

线性支持向量机定义: 对于给定的线性不可分的训练数据集,通过求解凸二次规划问题,即软间隔最大化问题,得到的分离超平面为
以及相应的分类决策函数
称为线性支持向量机。
参考文献
【1】统计学习方法(第2版),李航著,清华大学出版社
【版权声明】本文为华为云社区用户转载文章,如果您发现本社区中有涉嫌抄袭的内容,欢迎发送邮件进行举报,并提供相关证据,一经查实,本社区将立刻删除涉嫌侵权内容,举报邮箱:
cloudbbs@huaweicloud.com
- 点赞
- 收藏
- 关注作者
评论(0)