学习笔记|拉格朗日对偶性
【摘要】 在约束最优化问题中,常常利用拉格朗日对偶性将原始问题转换为对偶问题,通过解对偶问题而得到原始问题的解。该方法用在许多统计学习方法中,例如学习笔记|最大熵模型的学习、学习笔记|最大熵模型学习举例、学习笔记|线性可分支持向量机学习的对偶算法。1. 原始问题称此约束最优化问题为原始最优化问题或原始问题。首先,引进广义拉格朗日函数(注意,这里的拉格朗日函数与学习笔记|广义拉格朗日函数与KKT条件的应...
在约束最优化问题中,常常利用拉格朗日对偶性将原始问题转换为对偶问题,通过解对偶问题而得到原始问题的解。该方法用在许多统计学习方法中,例如学习笔记|最大熵模型的学习、学习笔记|最大熵模型学习举例、学习笔记|线性可分支持向量机学习的对偶算法。
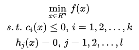
1. 原始问题


称此约束最优化问题为原始最优化问题或原始问题。
首先,引进广义拉格朗日函数

(注意,这里的拉格朗日函数与学习笔记|广义拉格朗日函数与KKT条件的应用中的广义拉格朗日函数是一致的)


这里,下标P表示原始问题。



相反地,如果x满足约束条件,则
因此,
所以如果考虑极小化问题

它与原始最优化问题等价,称为广义拉格朗日函数的极小极大问题。
这样一来,就把原始最优化问题表示为广义拉格朗日函数的极小极大问题。为了方便,定义原始问题的最优值
称为原始问题的值。
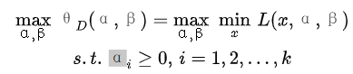
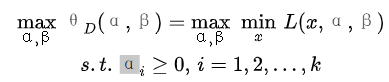
2. 对偶问题
定义


它称为广义拉格朗日函数的极大极小问题。
可以将广义拉格朗日函数的极大极小问题表示为约束最优化问题:
称为原始问题的对偶问题。定义对偶问题的最优值
称为对偶问题的值。
3. 原始问题和对偶问题的关系
下面讨论原始问题和对偶问题的关系。
定理1: 若原始问题和对偶问题都有最优值,则

证明: 对任意α,β和x,有

即
由于原始问题和对偶问题均有最优值,所以

即




(KKT条件可参见学习笔记|KKT条件与拉格朗日乘子法和学习笔记|广义拉格朗日函数与KKT条件的应用)
参考文献
【1】统计学习方法(第2版),李航著,清华大学出版社
【版权声明】本文为华为云社区用户转载文章,如果您发现本社区中有涉嫌抄袭的内容,欢迎发送邮件进行举报,并提供相关证据,一经查实,本社区将立刻删除涉嫌侵权内容,举报邮箱:
cloudbbs@huaweicloud.com
- 点赞
- 收藏
- 关注作者
评论(0)