学习笔记|线性可分支持向量机学习举例
【摘要】 解: 根据训练数据集构造约束最优化问题:解法一:(引入拉格朗日乘子和松弛因子并构造拉格朗日函数的方法可参考学习笔记|线性规划的标准化、学习笔记|拉格朗日乘子法、学习笔记|KKT条件与拉格朗日乘子法)令L(ω,b,λ)关于ω,b,λ的偏导数为0,可得而它不是原问题的最优解(可参见学习笔记|线性可分支持向量机最大间隔分离超平面的存在唯一性 中存在性的证明)。矛盾于是,求解最优化问题的解为最大间隔...

解: 根据训练数据集构造约束最优化问题:
解法一:


(引入拉格朗日乘子和松弛因子并构造拉格朗日函数的方法可参考学习笔记|线性规划的标准化、学习笔记|拉格朗日乘子法、学习笔记|KKT条件与拉格朗日乘子法)
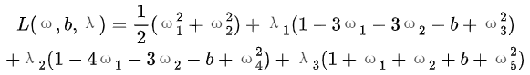
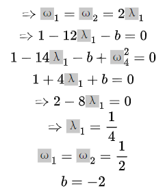
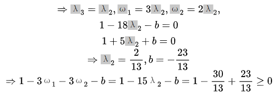
令L(ω,b,λ)关于ω,b,λ的偏导数为0,可得

而它不是原问题的最优解(可参见学习笔记|线性可分支持向量机最大间隔分离超平面的存在唯一性 中存在性的证明)。

矛盾


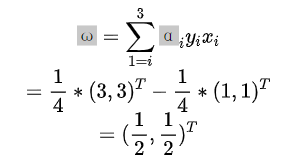
于是,求解最优化问题的解为
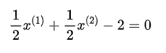
最大间隔分离超平面为

解法二:
根据最优化问题直接列出KKT条件(可参见学习笔记|KKT条件与拉格朗日乘子法 和学习笔记|广义拉格朗日函数与KKT条件的应用):
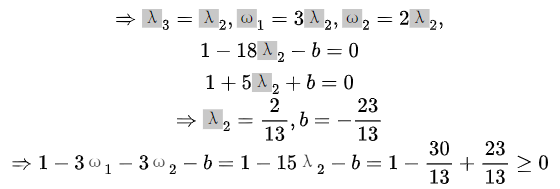
1)拉格朗日平稳性条件:
2)原可行性条件:
3)对偶可行性条件:
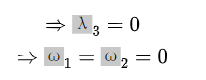
4)互补松弛条件:

不是最优解。

与原条件矛盾。

解法三:
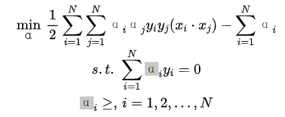
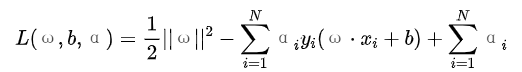
使用对偶算法(见学习笔记|线性可分支持向量机学习的对偶算法),构造拉格朗日函数如下:

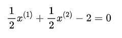
原问题可转化为
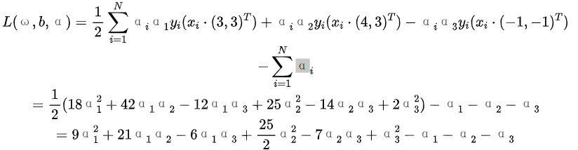
目标函数如下:
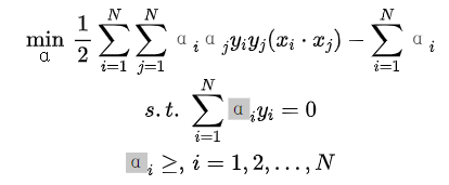
所以,原问题可转化为
即



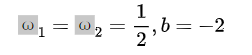
(ω的计算公式可参见学习笔记|线性可分支持向量机学习的对偶算法)
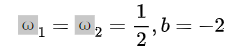
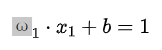
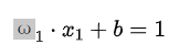
根据
可得,b=-2
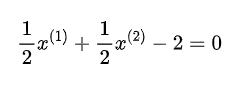
目标问题的分离超平面为

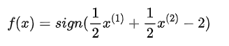
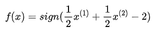
分类决策函数为

参考文献
【1】统计学习方法(第2版),李航著,清华大学出版社
【声明】本内容来自华为云开发者社区博主,不代表华为云及华为云开发者社区的观点和立场。转载时必须标注文章的来源(华为云社区)、文章链接、文章作者等基本信息,否则作者和本社区有权追究责任。如果您发现本社区中有涉嫌抄袭的内容,欢迎发送邮件进行举报,并提供相关证据,一经查实,本社区将立刻删除涉嫌侵权内容,举报邮箱:
cloudbbs@huaweicloud.com
- 点赞
- 收藏
- 关注作者
评论(0)