学习笔记|线性可分支持向量机学习的对偶算法
【摘要】 为了求解线性可分支持向量机的最优化问题,将它作为原始最优化问题,应用拉格朗日对偶性,通过求解对偶问题得到原始问题的最优解,这就是线性可分支持向量机的对偶算法。这样做的优点,一是对偶问题往往更容易求解;二是自然引入核函数,进而推广到非线性分类问题。(拉格朗日函数的构造方法可参见学习笔记|广义拉格朗日函数与KKT条件的应用 中的广义拉格朗日函数)根据拉格朗日对偶性,原始问题的对偶问题是极大极小问...
为了求解线性可分支持向量机的最优化问题,将它作为原始最优化问题,应用拉格朗日对偶性,通过求解对偶问题得到原始问题的最优解,这就是线性可分支持向量机的对偶算法。这样做的优点,一是对偶问题往往更容易求解;二是自然引入核函数,进而推广到非线性分类问题。



(拉格朗日函数的构造方法可参见学习笔记|广义拉格朗日函数与KKT条件的应用 中的广义拉格朗日函数)
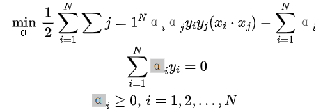
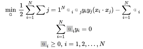
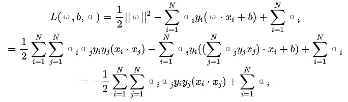
根据拉格朗日对偶性,原始问题的对偶问题是极大极小问题:
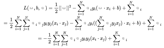
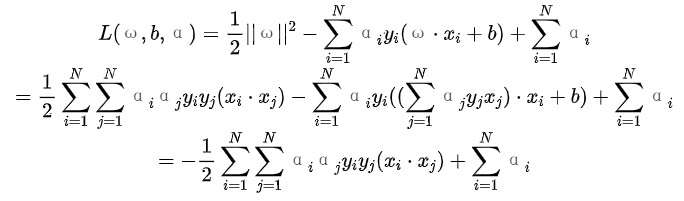
所以,为了得到对偶问题的解,需要先求L(ω,b,α)对ω,b的极小,再求对α的极大。

将拉格朗日函数L(ω,b,α)分别对ω,b求偏导数并令其等于0。
得
因此


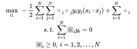
一般将最大问题转化为最小问题
线性可分支持向量机学习的对偶算法:

输出:分离超平面和分类决策函数。
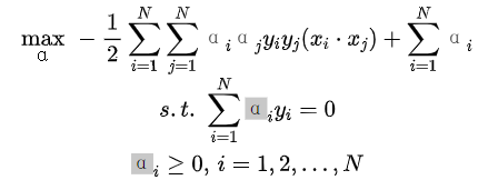
(1)构造并求解约束最优化问题

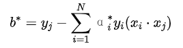
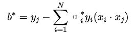
(2)计算


(3)求得分离超平面
分类决策函数:
参考文献
【1】统计学习方法(第2版),李航著,清华大学出版社
【版权声明】本文为华为云社区用户转载文章,如果您发现本社区中有涉嫌抄袭的内容,欢迎发送邮件进行举报,并提供相关证据,一经查实,本社区将立刻删除涉嫌侵权内容,举报邮箱:
cloudbbs@huaweicloud.com
- 点赞
- 收藏
- 关注作者
评论(0)