学习笔记|线性可分支持向量机最大间隔分离超平面的存在唯一性
【摘要】 线性可分训练数据集的最大间隔分离超平面是存在且唯一的。最大间隔分离超平面的存在唯一性定理: 若训练数据集T线性可分,则可将训练数据集中的样本点完全正确分开的最大间隔分离超平面存在且唯一。即,最优化问题(凸二次规划)的解存在且唯一。证明: (1)存在性(2)唯一性又因为同理可得因此参考文献【1】统计学习方法(第2版),李航著,清华大学出版社
线性可分训练数据集的最大间隔分离超平面是存在且唯一的。
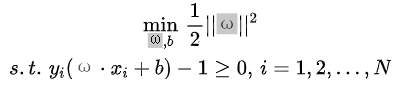
最大间隔分离超平面的存在唯一性定理: 若训练数据集T线性可分,则可将训练数据集中的样本点完全正确分开的最大间隔分离超平面存在且唯一。即,
最优化问题(凸二次规划)
的解存在且唯一。
证明: (1)存在性

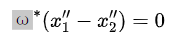
(2)唯一性




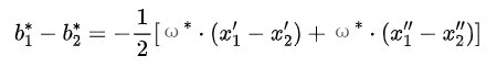
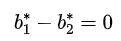
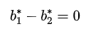
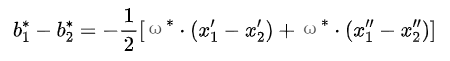
又因为
同理可得
因此


参考文献
【1】统计学习方法(第2版),李航著,清华大学出版社
【版权声明】本文为华为云社区用户转载文章,如果您发现本社区中有涉嫌抄袭的内容,欢迎发送邮件进行举报,并提供相关证据,一经查实,本社区将立刻删除涉嫌侵权内容,举报邮箱:
cloudbbs@huaweicloud.com
- 点赞
- 收藏
- 关注作者
评论(0)