学习笔记|最大熵模型学习的拟牛顿法
【摘要】 最大熵模型学习还可以用拟牛顿法。对于最大熵模型而言,目标函数:(可参见学习笔记|最大熵模型学习的IIS法)梯度:其中i=1,2,...,n相应的拟牛顿法BFGS算法如下。最大熵模型学习的拟牛顿法:其中,(7)置k=k+1,转(3)。参考文献【1】统计学习方法(第2版),李航著,清华大学出版社
最大熵模型学习还可以用拟牛顿法。
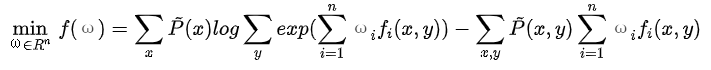
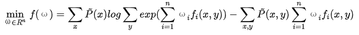
对于最大熵模型而言,

目标函数:

(可参见学习笔记|最大熵模型学习的IIS法)
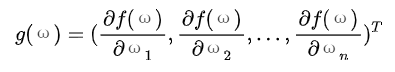
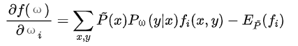
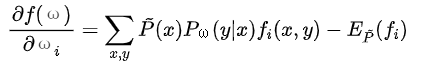
梯度:

其中

i=1,2,...,n
相应的拟牛顿法BFGS算法如下。
最大熵模型学习的拟牛顿法:










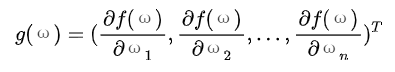
其中,

(7)置k=k+1,转(3)。
参考文献
【1】统计学习方法(第2版),李航著,清华大学出版社
【版权声明】本文为华为云社区用户转载文章,如果您发现本社区中有涉嫌抄袭的内容,欢迎发送邮件进行举报,并提供相关证据,一经查实,本社区将立刻删除涉嫌侵权内容,举报邮箱:
cloudbbs@huaweicloud.com
- 点赞
- 收藏
- 关注作者
评论(0)