学习笔记|最大熵模型学习的IIS法
【摘要】 Logistic回归模型、最大熵模型学习归结为以似然函数为目标函数的最优化问题,通常通过迭代算法求解。从最优化的观点看,这时的目标函数具有很好的性质。它是光滑的凸函数,因此多种最优化方法适用,保证能找到全局最优解。IIS,全称improved iterative scaling,中文名改进的迭代尺度法,是适用于求解以似然函数为目标的最优化问题(如最大熵模型学习)的方法之一。已知最大熵模型为对...
Logistic回归模型、最大熵模型学习归结为以似然函数为目标函数的最优化问题,通常通过迭代算法求解。从最优化的观点看,这时的目标函数具有很好的性质。它是光滑的凸函数,因此多种最优化方法适用,保证能找到全局最优解。
IIS,全称improved iterative scaling,中文名改进的迭代尺度法,是适用于求解以似然函数为目标的最优化问题(如最大熵模型学习)的方法之一。
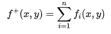
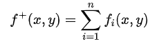
已知最大熵模型为

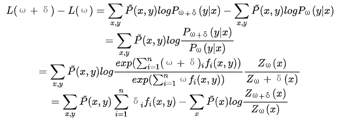
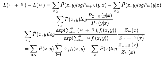
对数似然函数为

(上述结果的推导过程可参见学习笔记|最大熵模型与极大似然估计)





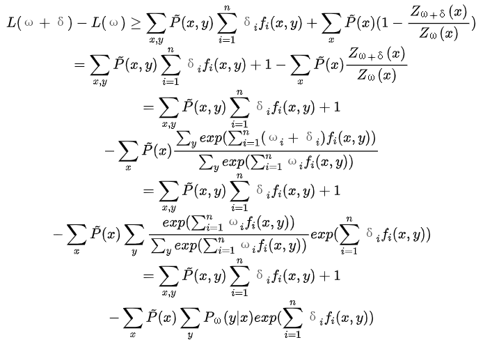
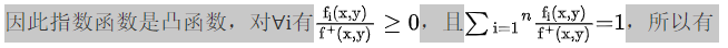
所以,对∀x>0,有f(x)≥0,即-logx≥1-x。
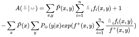
因此,

将上式记为A(δ|ω)。
于是有
即A(δ|ω)是对数似然函数改变量的一个下界。







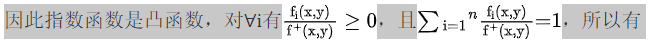
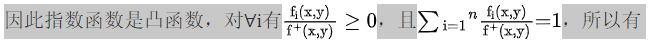
(推导依据可参见学习笔记|凸函数的定义与性质)
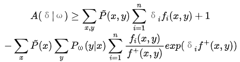
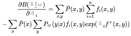
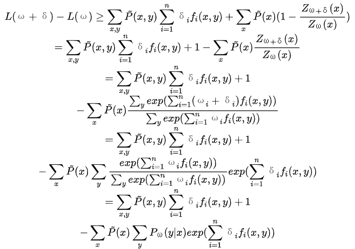
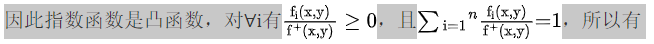
因此

将上式记为B(δ|ω)。
于是得到
这里,B(δ|ω)是对数似然函数改变量的一个新的(相对不紧的)下界。





IIS算法:


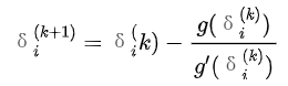
(2)对每一i∈{1,2,...,n}


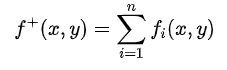
的解,这里,


(3)如果不是所有ω都收敛,重复步(2)。





参考文献
【1】统计学习方法(第2版),李航著,清华大学出版社
【版权声明】本文为华为云社区用户转载文章,如果您发现本社区中有涉嫌抄袭的内容,欢迎发送邮件进行举报,并提供相关证据,一经查实,本社区将立刻删除涉嫌侵权内容,举报邮箱:
cloudbbs@huaweicloud.com
- 点赞
- 收藏
- 关注作者
评论(0)