MATLAB实战系列(三十一)-基于MATLAB的异步电机调速系统仿真
【摘要】
前言
本文从异步电动机的数学模型着手介绍一种基于matlab/simulink的异步电动机仿真模型,使用时只需要输入不同的电机参数即可。
文中涉及代码可参见
电力系统仿真-基于MATLAB的异步电机调速系统仿真
在此基础上设计一个典型的直接矢量控制系统,然后利用Simulink仿真软件对该控制系统运行情况进行仿真研究。
par...
前言
本文从异步电动机的数学模型着手介绍一种基于matlab/simulink的异步电动机仿真模型,使用时只需要输入不同的电机参数即可。
文中涉及代码可参见
在此基础上设计一个典型的直接矢量控制系统,然后利用Simulink仿真软件对该控制系统运行情况进行仿真研究。
part1 物理模型
异步电动机的动态数学模型是一个高阶、非线性、强耦合的多变量系统。
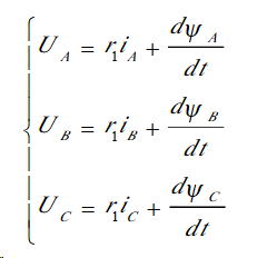
三相异步电动机的物理模型:

三相定子的电压方程可表示为:

Part.2 仿真建模
在simulink中建立仿真模型如下。
文章来源: wenyusuran.blog.csdn.net,作者:文宇肃然,版权归原作者所有,如需转载,请联系作者。
原文链接:wenyusuran.blog.csdn.net/article/details/116976516
【版权声明】本文为华为云社区用户转载文章,如果您发现本社区中有涉嫌抄袭的内容,欢迎发送邮件进行举报,并提供相关证据,一经查实,本社区将立刻删除涉嫌侵权内容,举报邮箱:
cloudbbs@huaweicloud.com
- 点赞
- 收藏
- 关注作者
评论(0)