学习笔记|最大熵模型学习举例
【摘要】 最大熵模型学习的最优化问题可表示为根据拉格朗日对偶性,可以通过求解对偶最优化问题得到原始最优化问题的解,所以求解令各偏导数等于0,解得于是所以于是得到所要求的概率分布为参考文献【1】统计学习方法(第2版),李航著,清华大学出版社


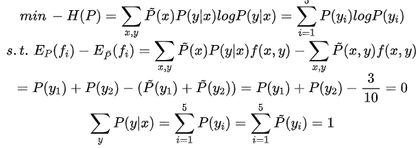
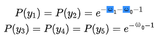
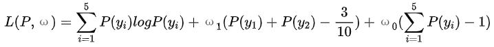
最大熵模型学习的最优化问题可表示为



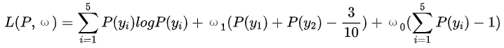
根据拉格朗日对偶性,可以通过求解对偶最优化问题得到原始最优化问题的解,所以求解


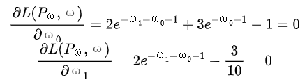
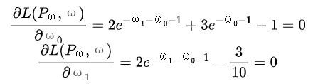
令各偏导数等于0,解得
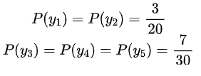
于是





所以
于是得到所要求的概率分布为

参考文献
【1】统计学习方法(第2版),李航著,清华大学出版社
【版权声明】本文为华为云社区用户转载文章,如果您发现本社区中有涉嫌抄袭的内容,欢迎发送邮件进行举报,并提供相关证据,一经查实,本社区将立刻删除涉嫌侵权内容,举报邮箱:
cloudbbs@huaweicloud.com
- 点赞
- 收藏
- 关注作者
评论(0)