学习笔记|最大熵模型的学习
【摘要】 定义(最大熵模型) 假设满足所有约束条件的模型集合为定义在条件概率分布P(Y|X)上的条件熵为最大熵模型的学习过程就是求解最大熵模型的过程。最大熵模型的学习可以形式化为约束最大化问题。按照最优化问题的习惯,将求最大值问题改写为等价的求最小值问题:求解上述约束最优化问题所得的解就是最大熵模型学习的解。具体推导过程如下:这里,将约束最优化的原始问题转换为无约束最优化的对偶问题。通过求解对偶问题求...
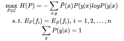
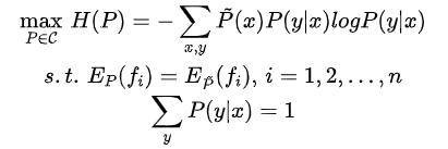
定义(最大熵模型) 假设满足所有约束条件的模型集合为

定义在条件概率分布P(Y|X)上的条件熵为


最大熵模型的学习过程就是求解最大熵模型的过程。最大熵模型的学习可以形式化为约束最大化问题。


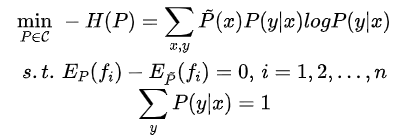
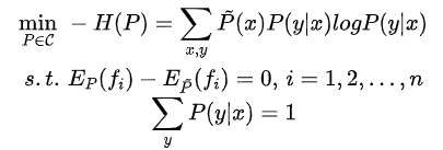
按照最优化问题的习惯,将求最大值问题改写为等价的求最小值问题:

求解上述约束最优化问题所得的解就是最大熵模型学习的解。具体推导过程如下:
这里,将约束最优化的原始问题转换为无约束最优化的对偶问题。通过求解对偶问题求解原始问题。


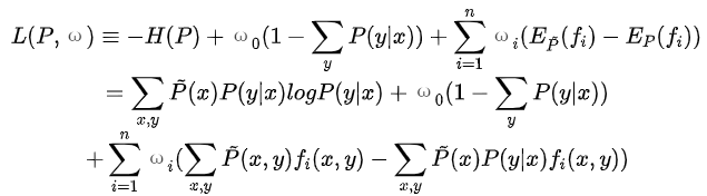
最优化的原始问题是
对偶问题是
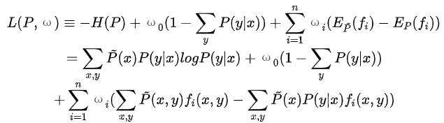
由于拉格朗日函数L(P,ω)是P的凸函数,原始问题的解与对偶问题的解是等价的。


ψ(ω)称为对偶函数。同时,将其解记作

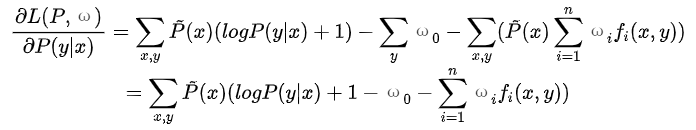
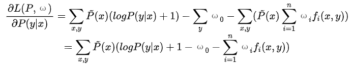
具体地,求L(P,ω)对P(y|x)的偏导数





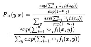
令

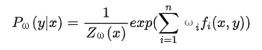
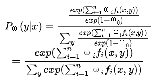
则


之后,求解对偶问题外部的极大化问题


参考文献
【1】统计学习方法(第2版),李航著,清华大学出版社
【版权声明】本文为华为云社区用户转载文章,如果您发现本社区中有涉嫌抄袭的内容,欢迎发送邮件进行举报,并提供相关证据,一经查实,本社区将立刻删除涉嫌侵权内容,举报邮箱:
cloudbbs@huaweicloud.com
- 点赞
- 收藏
- 关注作者
评论(0)