学习笔记|广义拉格朗日函数与KKT条件的应用
【摘要】 1. 知识点回顾在学习笔记|拉格朗日乘子法中,我们讨论了多变量多约束下拉格朗日乘子法的应用,即在学习笔记|KKT条件与拉格朗日乘子法中,我们进一步讨论了含有不等式约束情况下,拉格朗日乘子法的应用,即假设最优化问题为:2. 广义拉格朗日函数与KKT条件同样假设最优化问题为:KKT条件同样不变3. KKT条件的意义学习笔记|KKT条件与拉格朗日乘子法实际上在推导KKT条件的必要性,这里重点证明凸...
1. 知识点回顾
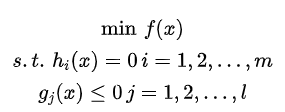
在学习笔记|拉格朗日乘子法中,我们讨论了多变量多约束下拉格朗日乘子法的应用,即

在学习笔记|KKT条件与拉格朗日乘子法中,我们进一步讨论了含有不等式约束情况下,拉格朗日乘子法的应用,即
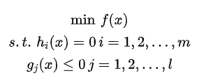
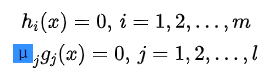
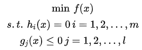
假设最优化问题为:





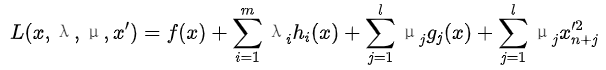
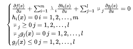
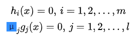
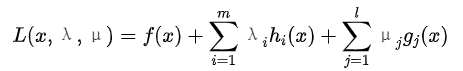
2. 广义拉格朗日函数与KKT条件

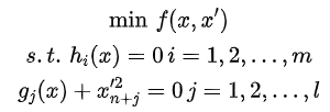
同样假设最优化问题为:



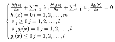
KKT条件同样不变

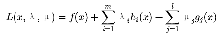
3. KKT条件的意义
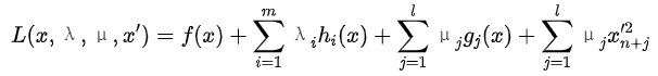
学习笔记|KKT条件与拉格朗日乘子法实际上在推导KKT条件的必要性,这里重点证明凸优化条件下,KKT条件的充分性。
令







因为

所以

即
那么




所以,当原问题是凸优化问题时,KKT条件是求解原问题的充分条件。对于凸优化问题,可以不经过拉格朗日函数的构建,直接列出KKT条件进行求解。
参考文献
1.https://www.cnblogs.com/massquantity/p/10807311.html
2.https://www.jianshu.com/p/19c2ed0259a8
3.https://zhuyulab.blog.csdn.net/article/details/115863150
【声明】本内容来自华为云开发者社区博主,不代表华为云及华为云开发者社区的观点和立场。转载时必须标注文章的来源(华为云社区)、文章链接、文章作者等基本信息,否则作者和本社区有权追究责任。如果您发现本社区中有涉嫌抄袭的内容,欢迎发送邮件进行举报,并提供相关证据,一经查实,本社区将立刻删除涉嫌侵权内容,举报邮箱:
cloudbbs@huaweicloud.com
- 点赞
- 收藏
- 关注作者
评论(0)