学习笔记|线性规划的标准化
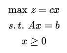
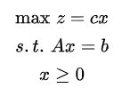
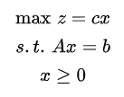
【摘要】 拉格朗日乘子法(见学习笔记|拉格朗日乘子法)给出了将有约束最优化问题转化为无约束最优化问题,从而求解优化问题的方法。但是它只针对特定的优化问题,即约束为等式的情况。那么对于一般的线性规划问题,能否通过拉格朗日乘子法求解呢?可以将一般线性规划转化标准形式,然后使用拉格朗日乘子法。1. 线性规划的标准形式线性规划的标准形式如下:它有四个特点:目标是求最大化;约束条件皆为等式;决策变量非负;右端常...
拉格朗日乘子法(见学习笔记|拉格朗日乘子法)给出了将有约束最优化问题转化为无约束最优化问题,从而求解优化问题的方法。但是它只针对特定的优化问题,即约束为等式的情况。那么对于一般的线性规划问题,能否通过拉格朗日乘子法求解呢?可以将一般线性规划转化标准形式,然后使用拉格朗日乘子法。
1. 线性规划的标准形式
线性规划的标准形式如下:


它有四个特点:
-
目标是求最大化; -
约束条件皆为等式; -
决策变量非负; -
右端常数项非负。
2. 线性规划的标准化
线性规划的标准化,即使线性规划满足上述标准形式的四个特点。
那么,目标必然是求最小化,即

令w=-z即可将目标转化为

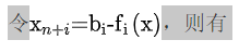
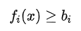
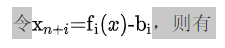
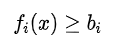
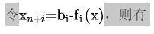
假设第一个不是等式的约束条件为




假设第一个不是等式的约束条件为




对于其余可能存在的非等式约束条件,可以以同样的方法转化为等式,且所有的松弛变量和剩余变量皆大于等于0。


对其余没有非负约束的决策变量进行同样的变换,可以将所有的决策变量转化为非负变量。

将该约束条件两端加上负号,可得


最终,各种形式的线性规划问题都可转化为标准形式,从而套用拉格朗日乘子法求解。那么,是否对所有的线性规划问题,拉格朗日乘子法都能适用呢?下篇探讨。
参考文献
1.https://wenku.baidu.com/view/cdffad2d571252d380eb6294dd88d0d233d43c0c.html
2.https://zhuanlan.zhihu.com/p/31729190
3.https://max.book118.com/html/2018/0814/5042013030001310.shtm
【声明】本内容来自华为云开发者社区博主,不代表华为云及华为云开发者社区的观点和立场。转载时必须标注文章的来源(华为云社区)、文章链接、文章作者等基本信息,否则作者和本社区有权追究责任。如果您发现本社区中有涉嫌抄袭的内容,欢迎发送邮件进行举报,并提供相关证据,一经查实,本社区将立刻删除涉嫌侵权内容,举报邮箱:
cloudbbs@huaweicloud.com
- 点赞
- 收藏
- 关注作者
评论(0)