学习笔记|似然函数与极大似然估计
学习笔记|logistic回归 中提到了二项分布的极大似然估计,我们来简单回顾一下似然函数与极大似然估计。
1. 似然函数
似然函数是统计学中关于统计模型参数的函数。百度百科的词条指出,“给定输出x时,关于参数θ的似然函数L(θ|x)(在数值上)等于给定参数θ后变量X的概率:L(θ|x)=P(X=x|θ)”。同时,它又指出,P(X=x|θ)“此处并非条件概率”。
但在数学表达式上,P(X=x|θ)与条件概率的表述完全一致,非常容易混淆。
事实上,在似然函数L(θ|x)中,θ一般不是一个随机变量,而是一个未知参数。它更应该写成:
或者:
它表示的是在某个确定的x下,不同的参数θ对应的不同的似然函数L的值或P(X=x)的值。而条件概率P(X=x|θ)指的是确定的θ下X取不同的值的概率。
在连续分布情况下:
2. 极大似然估计
由于似然函数实际上是参数θ的函数,它的基本假设是使得似然函数取到最大值的参数θ是最合理的θ。

或者
当上述似然函数取到极大值时,说明参数θ使得得到当前n个样本的概率在θ的当前领域内达到最大化。
3. 案例中的似然函数推导
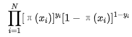
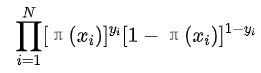
在学习笔记|logistic回归 中,假设P(Y=1|x)=π(x),P(Y=0|x)=1-π(x),任意一次采样,得到:
那么,随机进行N次采样,其似然函数就可以表示为

参考文献
1.统计学习方法(第2版),李航著,清华大学出版社
2.https://baike.baidu.com/item/%E4%BC%BC%E7%84%B6%E5%87%BD%E6%95%B0/6011241?fr=aladdin
3.https://www.zhihu.com/question/54082000
- 点赞
- 收藏
- 关注作者
评论(0)