运筹学那些事,专科学生学习运筹学,No.1
写在前面
自考运筹学,自学宝典,梦想橡皮擦,为你擦掉自考的梦想,嘿嘿
自己准备自考,你要做的第一件事情,叫做分析试卷,所谓知己知彼,百战不殆
你要知道考点,才能应付考点,是吧
我随机抽样了2006年、2012年、2018年的真题试卷
试卷组成
| 年份 | 题型与分值 |
|---|---|
| 2006年 | 选择(15道 15分) 填空(10道10分) 名词解释(5道15分) 计算题(3道15分) 计算题(3道15分) 计算题(2道14分) 计算题(2道16分) |
| 2012年 | 选择(15道 15分) 填空(10道10分) 名词解释(5道15分) 计算题(3道15分) 计算题(3道15分) 计算题(2道14分) 计算题(2道16分) |
| 2018年 | 选择(15道 15分) 填空(10道10分) 名词解释(5道15分) 计算题(3道15分) 计算题(3道15分) 计算题(2道14分) 计算题(2道16分) |
额,果然没错,这些年都没变过…
教材
打开书,看一下 2002年9月第2版,2018年1月第22次印刷。
额,好有年代感,估计赶上很多同学的年纪了。
内容有十一章,看起来还蛮多的
考纲中还写明了一点
考试时允许考生带计算器、画图工具。
恩,挺好
第一章:概论
常规套路,第一章肯定有选择题或者填空题出现,我们先梳理一下基本逻辑吧
一看就是重要的知识点
运筹学(Operations Research,简称OR)是一门研究如何有效地组织和管理人机系统的科学。
运筹学的概念,简称,这个没办法必须记住
对管理领域,运筹学也是对管理决策工作进行决策的计量方法
分析程序有两种基本形式
- 定性的
依据经验或者个人判断就可以解决
- 定量的
需要全面分析,用计量的办法
运筹学,主要研究定量分析的技能
运筹学定义:
==运筹学利用计划方法和有关多学科的要求,把复杂功能关系表示成数学模型,其目的是通过定量分析为决策和揭露新问题提供数量根据==
计算机与运筹学密不可分
决策方法的分类
看到这名字,就觉得这是考点,常年考试的第六感
- 定性决策
- 定量决策
- 混合型决策
应用运筹学进行决策的几个步骤
- 观察待决策问题所处的环境
- 分析和定义待决策的问题
- 拟定模型(
OR项目最费时的部分) - 选择输入资料
- 提出解并验证它的合理性。这里出现一个名词,叫做
敏感度实验(有个模型的解答,就要试图改变模型及其输入,并注视将要发生什么样的输出) - 实施最优解
真题参考
看了这些年的试卷,好像第一章没啥考题… 尴尬
第二章:预测
预测就是对未来的不确定的事件进行评估或判断
无情…说的好像算卦一样,科学的算卦
预测方法的分类
- 经济预测,分为
宏观经济和微观经济预测; - 科技预测,分为
科学预测和技术预测; - 社会预测,研究社会发展有关问题;
- 军事预测,研究与战争、军事有关的问题。
就应用方法来说,重点来哦~
- 定性预测:==该名词近20年有4年考到==
是指利用直观材料,依靠个人经验的主观判断,依靠个人经验的主观判断和分析能力,对未来的发展进行预测,又称之为直观预测
- 定量预测:==该名词近20年有3年考到==
根据历史数据和资料,应用数理统计方法来预测事物的未来,或者利用事物发展的因果关系来预测事物的未来。
凡利用历史数据来推算事物发展趋势的叫外推法,常用的有时间序列分析法;凡利用事物内部因素发展的因果关系来预测事物发展趋势的叫因果法,常用的有回归分析法、经济计量法、投入产出分析法。
就预测时间期限来说
- 长期预测
- 中期预测
- 短期预测(近期预测)
预测的程序
- 确定预测的对象或目标
- 选择预测周期
- 选择预测方法
- 收集有关资料
- 进行预测
定性预测法(判断预测法)
判断预测法一般有下列两种:特尔菲法和专家小组法
特尔菲法的实施程序:
- 确定课题
- 选择专家
- 设计咨询表
- 逐轮咨询和信息反馈
- 采用统计分析方法
专家小组法 ==只在2004年出现过1次,后面没出现过==
概念:专家小组法是在接受咨询的专家之间组成一个小组,面对面地进行讨论与磋商,最后对需要预测的课题得出比较一致的意见
时间序列预测法
概念:时间序列分析法就是将历史数据按时间顺序排列,根据预测对象的这些数据,利用数理统计方法加以处理,来预测事物的发展趋势。
滑动平均预测法
滑动平均预测法又分为
简单平均预测法和加权平均预测法
- 简单滑动平均预测法:实际上是一种算数平均数预测法
求平均数都会算吧
公式就是下面的公式
(1) 横向比较法,跟别人比,求平均值

(2)纵向比较法:简单滑动平均数法。

现在只是求平均值,怎么体现滑动呢
总按照前6个月来计算,也就是第8个月,算2~7月的,第9个月,算3~8月的。明白了吧,滑动起来,逐次往后面移动一个月,就叫做简单滑动平均数。
教材上也给了一个公式,这个公式不重要,帮助理解的

加权平均数预测法
(1)横向比较法(比较简单,自己看例子)

(2)纵向比较法(加权移动平均数法)
按照
简单滑动平均数法理解即可
简单例题
滑动平均预测值真题
某木材公司销售房源构件,其中一种构件的销售数据如图。试计算,3个月的滑动平均预测值
| 月份 | 实际销售额(万元) | 3个月滑动平均预测值 |
|---|---|---|
| 1 | 10 | |
| 2 | 12 | |
| 3 | 13 | |
| 4 | 16 | 11.67 |
| 5 | 19 | 13.67 |
| 6 | 23 | 16.00 |
加权平均数预测法真题
某乡镇企业试制成功一种5号电池,已知前6个月出厂价格顺序为:1.0,1.1,1.1,1.2,1.2,1.3(元/节),为了加大与预测期较近的实际数据的权数,该厂确定了相应的权数分别为:1、2、2、3、3、4,试依据加权平均数预测法,计算该种电池7月份的出厂价格预测值(结果保留2位小数)
F~7~ = 1+1.12+1.12+1.23+1.23+1.3*4 / 1+2+2+3+3+4 = 1.19
指数平滑预测法
先看公式
F~t+1~ = F~t~ + α(x~t~ - F~t~) = F~t~ + αe~t~
教材对后续的公式的演变也做了一些说明,这里直接通过例子来解释
滑动平均法 和 指数平均法
某木材公司销售房架构件,其中一种配件的销售数据如表。计算
(1) 3个月和4个月的滑动平均预测值;3个月加权滑动平均预测值
(2)α = 0.4 时指数平滑预测值;α = 0.7 时指数平滑预测值;分析α = 0.4 和α = 0.7 二者的指数平滑预测的结果
3个月和4个月的滑动平均预测值

3个月的加权滑动平均预测值

下面我们开始解决第二问
α = 0.4 时指数平滑预测值;α = 0.7 时指数平滑预测值;分析α = 0.4 和α = 0.7 二者的指数平滑预测的结果
这个地方需要用到几个指数平滑预测法公式的变种

这个地方,注意,当α=0.4的时候,我们做预测值,发现偏差较大

修正α=0.7 看结论

最后,在这个小节的末尾加上了一个 趋势调整指数平滑法,这个自己选看一下吧
回归模型预测法
又称 回归模型预测法或者因果法
事物内部变量间的关系一般分为两类:
- 变量间的确定性关系,函数关系
- 变量间的不确定关系,相关关系
不确定性情况涉及的状态比较复杂,因此回归分析方法(回归方程)也有多种:
线性回归方程分为
- 一元线性回归:一个自变量与一个因变量间线性关系的回归方程,又称单回归
- 多元线性回归:一个因变量与多个自变量间线性关系的回归方程,又称复回归
非线性回归方程(选看)
一元线性回归方程
y = a + bx
y 因变量 x 自变量,a,b 回归模型的参数
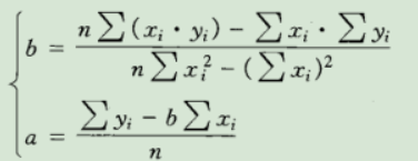
这个式子最重要的就是确定a,b的值了。系数确定的原则是使预测值尽可能地接近实际值,应用的方法是最小二乘法
最小二乘法(==该名词近20年有4年考到==)
寻求使误差平方总和为最小的配合趋势线的方法。或,依计算估算点和实际点间平方之和最小,描绘配合趋势线的方法。
在教材中关于这点重点看P21的案例即可,如果你跳过,只需要记住
求解回归参数a、b的两个方程式

及回归方程a、b系数的计算公式:

二元线性回归模型预测法(自考看一遍,了解即可)
公式:y = a + b~1~x~1~+b~2~x~2~
运用最小二乘法,可求得求解回归参数a、b~1~、b~2~的公式

季节性变动的预测(篇幅不大,大胆的预测考点不多)
- 季节性的变动趋势
- 一般的变动趋势
建议采用指数平滑预测法较好
自考必看
首先,你应该关注一个公众账号,必须的

然后,重点来了,附件给一份名词解释题,近20年的
还有一句话要说:运筹学,自考卷,第31题,一般考察 滑动平均值预测、加权平均数预测、指数平滑预测法、加权滑动平均数、简单滑动预测法,说白了,就是第二章重点部分。
下面这个表格会不断完善

整理一份近20年名词解释题
整套试卷占15分,哈哈哈,打码了,要清晰的找我吧

- 点赞
- 收藏
- 关注作者
评论(0)