学习笔记|决策树的特征选择
1. 特征选择问题
特征选择在于选取对训练数据具有分类能力的特征。这样可以提高决策树学习的效率。如果利用一个特征进行分类的结果与随机分类的结果没有很大差别,则称这个特征是没有分类能力的。经验上,扔掉这样的特征对决策树学习的精度影响不大。通常特征选择的准则是信息增益或信息增益比。
2. 信息增益
为了便于说明信息增益的概率,先给出熵与条件熵的定义。
在信息论与概率统计中,熵是表示随机变量不确定性的度量。设X是一个取有限个值的离散随机变量,其概率分布为

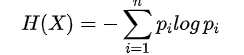
则随机变量X的熵定义为

其中,定义0log0=0。通常,上式中的log以2为底或以e为底,这时熵的单位分别称为比特(bit)或纳特(nat)。
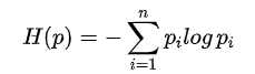
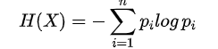
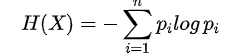
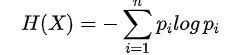
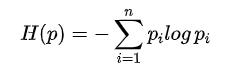
从定义可知,X的熵只依赖于它的分布,而与它的取值无关,所以也可以将X的熵记作H(p),即

熵越大,随机变量的不确定性就越大。且0≤H(p)≤log n
当随机变量只取两个值,例如1,0时,即X的分布为

熵为

这时,熵H(p)随概率P变化的曲线如下图(单位比特)。
当p=0或p=1时H(p)=0,随机变量完全没有不确定性。当P=0.5时,H(p)=1,熵取值最大,随机变量不确定性最大。
设有随机变量(X,Y),其联合概率分布为

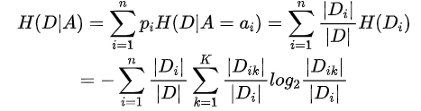
条件熵H(Y|X)表示在已知随机变量X的条件下随机变量Y的不确定性。随机变量X给定的条件下随机变量Y的条件熵H(Y|X)定义为X给定条件下Y的条件概率分布的熵对X的数学期望

当熵和条件熵中的概率由数据估计(特别是极大似然估计)得到时,所对应的熵与条件熵分别称为经验熵和经验条件熵。
信息增益表示得知特征X的信息而使得类Y的信息的不确定性减少的程度。
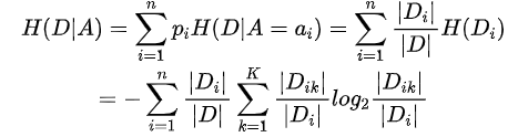
定义(信息增益) 特征A对训练数据集D的信息增益g(D,A),定义为集合D的经验熵H(D)与特征A给定条件下D的经验条件熵H(D|A)之差,即

一般地,熵H(Y)与条件熵H(Y|X)之差称为互信息。决策树学习中的信息增益等价于训练数据集中类与特征的互信息。
决策树学习应用信息增益准则选择特征。给定训练数据集D和特征A,经验熵H(D)表示对数据集D进行分类的不确定性。而经验条件熵H(D|A)表示在特征A给定条件下对数据集D进行分类的不确定性。那么它们的差,即信息增益,就表示由于特征A而使得对数据集D的分类的不确定性减少的程度。显然,对于数据集D而言,信息增益依赖于特征,不同的特征往往具有不同的信息增益。信息增益大的特征具有更强的分类能力。
根据信息增益准则的特征选择方法是:对训练数据集(或子集)D,计算其每个特征的信息增益,并比较它们的大小,选择信息增益最大的特征。

信息增益算法
输入:训练数据集D和特征A;
输出:特征A对训练数据集D的信息增益g(D,A)。
(1)计算数据集D的经验熵H(D)

(2)计算特征A对数据集D的经验条件熵H(D|A)

(3)计算信息增益

3. 信息增益比
以信息增益作为划分训练数据集的特征,存在偏向于选择取值较多的特征的问题。使用信息增益比可以对这一问题进行校正。这是特征选择的另一准则。

参考文献
【1】统计学习方法(第2版),李航著,清华大学出版社
相关链接:
- 点赞
- 收藏
- 关注作者
评论(0)