【leetcode刷题】17.相交链表——Java&python版
⭐欢迎订阅《leetcode》专栏,每日一题,每天进步⭐
朋友们,请一定要珍惜身边的那个 ta 啊!你们之所以相遇,正是因为你走了 ta 走过的路,而 ta 也刚好走了你走过的路。这是何等的缘分!
而当你们携手继续走下去时,你会慢慢变成 ta 的样子,ta 也会慢慢变成你的样子。
——leetcode此题热评
前言
哈喽,大家好,我是一条。
糊涂算法,难得糊涂
从昨天开始,我们已经正式进入链表篇,一条正在写一篇关于链表结构的手撕代码,敬请期待!
Question
160. 相交链表
难度:简单
给你两个单链表的头节点 headA 和 headB ,请你找出并返回两个单链表相交的起始节点。如果两个链表没有交点,返回 null 。
图示两个链表在节点 c1 开始相交:
题目数据 保证 整个链式结构中不存在环。
注意,函数返回结果后,链表必须 保持其原始结构 。
示例 1:
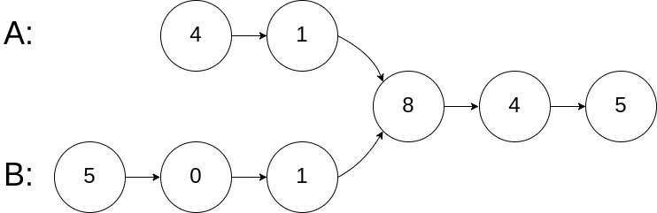
输入:intersectVal = 8, listA = [4,1,8,4,5], listB = [5,0,1,8,4,5], skipA = 2, skipB = 3 输出:Intersected at '8' 解释:相交节点的值为 8 (注意,如果两个链表相交则不能为 0)。 从各自的表头开始算起,链表 A 为 [4,1,8,4,5],链表 B 为 [5,0,1,8,4,5]。 在 A 中,相交节点前有 2 个节点;在 B 中,相交节点前有 3 个节点。
- 1
- 2
- 3
- 4
- 5
示例 2:
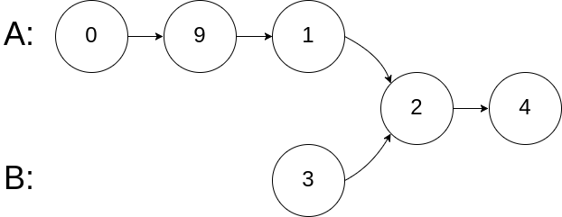
输入:intersectVal = 2, listA = [0,9,1,2,4], listB = [3,2,4], skipA = 3, skipB = 1 输出:Intersected at '2' 解释:相交节点的值为 2 (注意,如果两个链表相交则不能为 0)。 从各自的表头开始算起,链表 A 为 [0,9,1,2,4],链表 B 为 [3,2,4]。 在 A 中,相交节点前有 3 个节点;在 B 中,相交节点前有 1 个节点。
- 1
- 2
- 3
- 4
- 5
示例 3:
输入:intersectVal = 0, listA = [2,6,4], listB = [1,5], skipA = 3, skipB = 2 输出:null 解释:从各自的表头开始算起,链表 A 为 [2,6,4],链表 B 为 [1,5]。 由于这两个链表不相交,所以 intersectVal 必须为 0,而 skipA 和 skipB 可以是任意值。 这两个链表不相交,因此返回 null 。
- 1
- 2
- 3
- 4
- 5
提示:
listA 中节点数目为 m listB 中节点数目为 n 0 <= m, n <= 3 * 104 1 <= Node.val <= 105 0 <= skipA <= m 0 <= skipB <= n 如果 listA 和 listB 没有交点,intersectVal 为 0 如果 listA 和 listB 有交点,intersectVal == listA[skipA + 1] == listB[skipB + 1]
- 1
- 2
- 3
- 4
- 5
- 6
- 7
- 8
Solution
比较容易想到的是利用hashmap判断是否有重复值。
比较好的办法还是双指针
-
构建两个节点指针
A,B分别指向两链表头节点headA,headB -
指针
A先遍历完链表headA,再开始遍历链表headB -
指针
B先遍历完链表headB,再开始遍历链表headA -
指针
A,B重合,有两种情况 -
A
,B同时指向「第一个公共节点」node或同时指向 null
Code
所有
leetcode代码已同步至github欢迎
star
java
/**
* @author yitiaoIT
*/
class Solution {
public ListNode getIntersectionNode(ListNode headA, ListNode headB) {
ListNode A = headA, B = headB;
while (A != B) {
A = A != null ? A.next : headB;
B = B != null ? B.next : headA;
}
return A;
}
}
- 1
- 2
- 3
- 4
- 5
- 6
- 7
- 8
- 9
- 10
- 11
- 12
- 13
python
/**
* @author yitiaoIT
*/
class Solution:
def getIntersectionNode(self, headA: ListNode, headB: ListNode) -> ListNode:
A, B = headA, headB
while A != B:
A = A.next if A else headB
B = B.next if B else headA
return A
- 1
- 2
- 3
- 4
- 5
- 6
- 7
- 8
- 9
- 10
Result
复杂度分析
- 时间复杂度:O(N)

🌈最后
⭐今天是坚持刷题更文的第17/100天
⭐各位的点赞、关注、收藏、评论、订阅就是一条创作的最大动力
⭐更多算法题欢迎关注专栏《leetcode》
为了回馈各位粉丝,礼尚往来,给大家准备了一条多年积累下来的优质资源,包括 学习视频、面试资料、珍藏电子书等
怎么领取请大家自己找,寻宝游戏现在开始。
找不到可以评论留言,一条就会注意到你。
如果还不行,请私信我。

文章来源: blog.csdn.net,作者:一条coding,版权归原作者所有,如需转载,请联系作者。
原文链接:blog.csdn.net/skylibiao/article/details/119274276
- 点赞
- 收藏
- 关注作者



评论(0)