多任务学习中的目标权重平衡(3)
【摘要】 本文介绍多任务学习中目标权重平衡方法。传统多任务目标函数构造的问题:多任务损失函数定义如下:相应的,随机梯度下降的权重更新公式如下:(注释:这里是共享层最后一层的权重,具体和多任务学习的网络构造有关,这里不做具体介绍。)当某一个任务的梯度占据主导地位,或者任务梯度冲突时,权重更新可能并不是最优的。Dynamic Task Prioritization - 动态任务优先 1. 本...
本文介绍多任务学习中目标权重平衡方法。
- 传统多任务目标函数构造的问题:
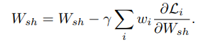
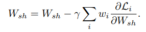
多任务损失函数定义如下:

相应的,随机梯度下降的权重更新公式如下:

(注释:这里是共享层最后一层的权重,具体和多任务学习的网络构造有关,这里不做具体介绍。)
当某一个任务的梯度占据主导地位,或者任务梯度冲突时,权重更新可能并不是最优的。
- Dynamic Task Prioritization - 动态任务优先
1. 本方法首先引入了Key Performance Indicators(KPI)参数,通常是准确率或者平准准确率,用于代表任务的难易程度。
KPI随着轮次的增加不断修正,
![]()
其中α代表discount factor,可以自定义,τ代表轮次。
2. 其次,基于KPI的定义,每个任务的权重可以表示为

对于KPI越高的任务,一般准确率较高,权重也会相应较小。
3. 最后,基于每个任务的权重,我们可以给出整个loss函数为:

其中FL函数,代表上面的
。
- 参考文献:
【1】. Guo M, Haque A, Huang D A, et al. Dynamic task prioritization for multitask learning[C]//Proceedings of the European Conference on Computer Vision (ECCV). 2018: 270-287.
【2】.知乎专栏:https://zhuanlan.zhihu.com/p/269492239
【声明】本内容来自华为云开发者社区博主,不代表华为云及华为云开发者社区的观点和立场。转载时必须标注文章的来源(华为云社区)、文章链接、文章作者等基本信息,否则作者和本社区有权追究责任。如果您发现本社区中有涉嫌抄袭的内容,欢迎发送邮件进行举报,并提供相关证据,一经查实,本社区将立刻删除涉嫌侵权内容,举报邮箱:
cloudbbs@huaweicloud.com
- 点赞
- 收藏
- 关注作者
评论(0)