LDA算法在人脸识别中的研究与应用丨【百变AI秀】
前言
随着科学技术的飞速发展,更多的先进技术被应用到现实生活中,同时伴随着互联网的广泛普及,信息安全日益受到人们的重视。其中,身份认证成为人们在日常生活与工作过程中最常用的安全保护形式。相关的信息安全保护工作越来越受到人们的重视,越来越多的研究者从事到相关的研究领域。人脸识别作为身份认证中主要的方法之一,研究意义非常重大。本人研究生期间的研究课题内容就是在复杂环境下的人脸识别算法设计和优化,文章将重点介绍 LDA(线性判别分析)算法在人脸识别中的研究与应用。
正文
一、背景介绍
生物识别技术是指利用人体固有的行为特征和生理特征来进行身份鉴定的技术。一般来说,生活识别技术中经常用到的生物特征包括指纹、人脸、虹膜、掌纹、步态、语音等。这些人体特征不需要我们人们刻意去记忆或者携带,不会丢失也不会被盗用。另外,这些特性都是差异性,每个人的指纹、人脸、虹膜、掌纹、步态、语音、签名都是不相同的,而且相同的概率极低。这样,计算机智能识别系统能够很好的利用这些特性实现人的身份认证。生物特征识别技术具有广阔的市场应用前景和巨大的社会经济效益,因此,近年来生物特征识别技术成为了各国学者们的研究热点。目前,社会中应用最多的生物识别技术有:指纹识别,红膜识别,人脸识别,步态识别等。其中,人脸作为人类最重要的生物特征之一,是我们进行身份认证的最基本和最主要手段。

二、主要问题
目前,人脸识别研究中遇到的问题主要有:
(1)人脸受不同光照角度照射时,人脸图像上的阴影分布有所不同,所提取的特征会有所不同。
(2)人体和头部的姿态以及人脸不同表情对特征提取的影响。
(3)面部是否有遮挡物,比如是否戴眼镜,围巾,帽子等。
(4)人脸图像的高维特性所造成的小样本问题。
尽管人脸识别经过了几十年的研究,学者们陆续提出各种不同的方法,识别技术与设备不断进步。但是如何更加有效的克服以上问题,依然是人们研究的热点。
三、相关内容
3.1 图像预处理
图像旋转是一种图像处理方式,它的意思就是将图像固定一点,整体围绕该点旋转一定的角度。举个现实的例子,图2.1(a)中人脸图像倾斜的,但是一般情况下,人脸检测与识别处理的图像都是左右对称的正面图像。这样,可以简化人脸检测与识别的处理难度,为系统后续图像处理奠定基础。所以,图像旋转需要计算旋转角度,图2.1(a)中人眼球中心点连线与水平线夹角为15度,需要将图像逆时针旋转15度。这样处理后,得到的人脸图像就是标准的正面图像。旋转图像后的结果如图2.1(b)所示。

由于图像格式、拍摄角度等很多因素的影响,一般的人脸图像都不是正相的,所以,图像旋转使用非常普遍。作为基础的图像预处理技术,图像旋转的使用变得复杂多样。
人脸的检测过程经常会涉及到图像的拉伸操作。作为人脸识别系统的关键环节,人脸检测的意义非常重大。只有准确的检测人脸,才能保证系统后续处理流程的正常。刚开始起步的时候,人脸识别研究主要针对具有较强约束条件的人脸图像,比如无背景、正相的人脸图像,或者非常标准的待处理人脸图像。但是,现实生活中可能存在各种各样的意外情况。比如人脸图像非常小,或者某些人脸特征需要放大或者拉伸。

图像拉伸处理,也是为了方便人脸检测与识别过程。图2.2(a)显示了一张比较小的人脸图像,图2.2(b)显示的是人脸图像经过纵向拉伸一倍处理后的图像结果,图2.2(c)显示的图像是经过横向拉伸一倍处理后的图像结果。图2.2(d)显示的是人脸图像经过整体放大一倍处理后的图像结果。
图像均衡化是图像增强效果的常见方式。图像增强是将图像的大小、轮廓、棱角等特性进行效果强调或者是进行尖锐化处理。比如,当一张人脸图像曝光不足或曝光过度的时候,由于对比度过小或过大,从而不能显示人脸图像中的关键细节,就需要我们通过图像增加技术改善这张人脸图像的视觉效果。图像增强技术,一方面可以突出图像中我们所感兴趣的特征信息;另一方面可以改善图像的表现效果,进而提高图像的可读性。
图像增强技术的使用,首要目标是使经过处理后的图像比原始图像更适合我们的特定需要。图像增强的方法一般可以分为两大类:一是空间域方法,二是频域方法。“空间域”处理技术的对象是图像本身,该方法是直接处理图像的原始像素点。“频域”处理技术是以修改图像的傅氏变换作为基础的。通常来说,原始图像数据的灰度值范围都比较小,通常比显示器的显示范围要小很多。

经过增强处理的图像灰度值范围在0-255之间,这样能够提高原始图像的对比度,改善图像显示质量。图像的灰度直方图作为图像增强处理的基础。经过直方图均衡化处理后,能够提高图像的分辨程度,增强整个图像的显示对比度。这种均衡化处理算法简单,而且增强效果很好。本文主要讨论了空间域的直方图均衡化的增强效果,并用Matlab工具进行实验验证。
对于现实生活中的人脸图像,由于复杂环境的干扰,比如风、雨、雪、泥点等,都会对人脸的检测与识别造成噪声干扰。为了应对现实生活中遇到的各种情况,本文处理和对比了大量的在雨雪中,特别是雪的天气状况下的人脸图像。图2.5显示了部分雪中的人脸图像。

发现受到干扰的人脸图像中噪音点和椒盐噪音对人脸图像的影响非常相近,于是,本文使用椒盐噪音作为模拟雨雪对于人脸图像的外界环境干扰因素。上图显示的就是众多在雪中的图像,经过处理,可以发现和椒盐噪音模拟的图像非常类似。于是,我们使用不同比例的椒盐噪音处理标准ORL人脸数据库中的人脸图像,图像清晰度随着噪音比例的增高逐渐减弱,效果如下图所示。
现实生活中的噪音干扰对人脸识别有很高的误导性。正确有效的去除噪音干扰直接影响人脸识别系统的性能。特别是复杂环境中的人脸识别,比如雨、雪、泥点等对人脸的噪音干扰。需要经过一定的去噪过程,再将人脸图像传递给后续的人脸识别流程处理。

人脸检测的关键就是检测算法能否从视频或者图像中准确地区分出背景和人脸部分。目前,在复杂环境和光照背景下,还没有一种单独的人脸检测算法能够取得非常好的人脸检测效果。2015年3月,吕少东团队提出了一种多级自组织学习检测算法。首先,对人的肤色空间进行聚类转换,将基于 RGB 的肤色空间转换为基于 YCbCr 的肤色空间。基于 YCbCr 的肤色空间是经过一定程度上的特征提取的,其中原来大量的不相关的背景信息被剔除掉。基于 RGB 的肤色空间与基于 YCbCr 的肤色空间的转换关系如下面的公式所示。

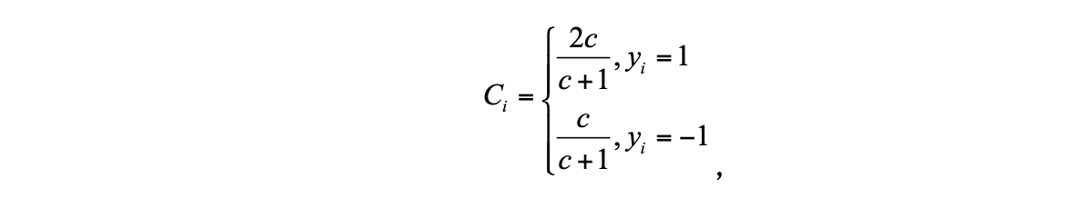
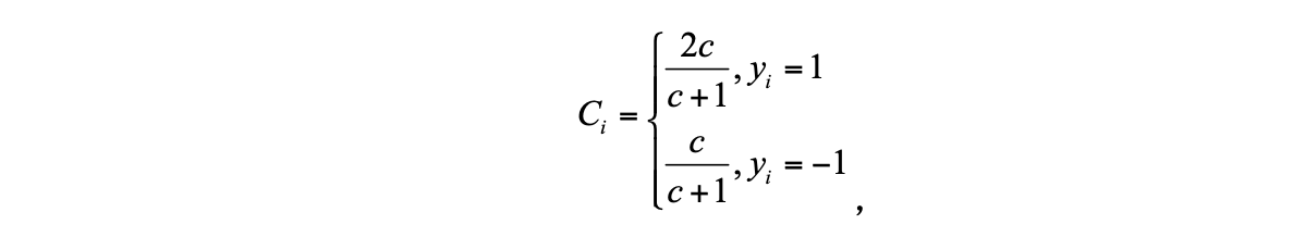
然后,又为多级自组织学习算法提供了代价敏感度函数,在样例初始化及权重更新的动态过程中,都要用到代价敏感度函数。

其中,c是代价敏感度因子。
最后,通过循环递归,由多个弱分类器得到最终的强分类器:

3.2 LDA特征提取
LDA方法是一种线性的特征提取方法,而基于线性的特征提取方法本质上是一种代数特征方法。就对于人脸识别问题来说,它将人脸图像矩阵转化为一个高维向量,从而将其看作是高维空间中的一个矢量点。特征提取的目的简单来说就是寻找一个有利于分类的低维空间,然后将高维原始空间的原始数据映射到这个最优的低维空间去,投影系数就是我们要的特征提取的代数上的特征。
LDA和PCA都是线性降维的特征提取方法,理论上都是基于子空间的特征提取思想。人脸图像的原始高维数据被映射到一个低维线性空间中,使用特定的投影矩阵来达到这一目标,从而实现人脸图像信息的特征提取和降维。另外,它们都是基于统计的人脸识别方法,在特征提取之前,需要将人脸图像转换成高维矢量。不同的是,主成分分析(PCA)是通过对降维数据的重建和还原,尽可能保留样本原始信息,从而恢复原始图像的样本人脸,但不使用已知样本的类别标签信息,它是一种无监督的人脸识别方法。LDA方法则不然,它从模式分类的角度出发,最小化相同类别的样本之间的距离,最大化样本的类别之间的距离,从而使同一样品尽可能聚在一起,不同类别的样本尽可能的分开。LDA充分利用了训练样本的类别标签信息,它是一种有监督的人脸识别算法。
四、算法介绍
4.1 算法命名
线性判别分析被应用于特征提取,表现出了很好的效果。传统的零空间LDA算法在求解特征空间时,为了提高计算效率,只利用了类内离散度矩阵零空间中的分类信息,可能丢失了类间离散度矩阵中可以用来分类的鉴别信息。为了充分利用类内离散度矩阵和类间离散度矩阵零空间中的分类信息,本人提出了一种基于整体离散度矩阵的零空间LDA算法,并命名为 NULL-LDA 算法。
为了更好的利用类内离散度矩阵和类间离散度矩阵中有效的分类信息,本文使用了整体离散度矩阵求解零空间。尽管,这样的做法增加了时间上的开销,但是在一定程度上提高了人脸识别的准确率。接下来给出了改进算法的推导过程。

一般情况下,人们认为类内离散度矩阵中含有大量且关键的分类信息,而类间离散度矩阵中含有冗余的分类信息。通常为了提高分类效率,人们更多得只使用类内离散度矩阵求解零空间投影向量。本文认为,为了提高识别率,在一定范围内时间上的消耗是可以接受的。所以,特征提取时选择使用整体离散度矩阵代替原来的类内离散度矩阵,可以更加充分得利用类内离散度矩阵和类间离散度矩阵中的分类信息,提高算法的识别率。其中,整体离散度矩阵的具体描述如下:

4.2 算法思想
为了合理分配类内离散度矩阵和类间离散度矩阵在整体离散度矩阵空间中的比重,同时,也为了应对不同比例噪音密度的影响,引入了权重分配系数。通过改变权重系数,动态的改变类内离散度和类间离散度在整体离散度矩阵空间中的比重,寻找最佳的权重系数。对于不同比例的噪音,也会最佳的权重系数值与之对应。事实证明,设置合理的权重分配系数能够在一定程度上提高人脸识别率。
改进后的整体离散度矩阵,描述如下:

基于整体离散度的零空间LDA算法能够提高识别率的关键就在于,如何合理有效地利用类内离散度和类间离散度中的分类信息。同时,由于椒盐噪音的影响,不同比例的噪音干扰对于识别率的影响也是不同的。因此,需要合理地调整公式中参数 λ 的取值。对于参数 λ 的不同取值,算法的识别率也会有所不同。
4.3 算法对比
改进后NULL-LDA算法与传统N-LDA算法,在标准ORL人脸数据库,椒盐噪音密度20%,训练样本K=2,3,4,5,6,7,9时的识别率对比结果。使用NN分类器,实验结果如图4.5所示,使用KNN分类器,实验结果如下图所示。

上述实验结果表明 NULL-LDA 算法在特定场景下确实具备一定的认脸识别优势。
五、总结
本文首先针对环境噪音的干扰因素,研究了线性判别分析(LDA)的特征提取算法,并与其他 LDA 方法进行了对比分析,然后针对传统 LDA 算法的缺陷提出了一种基于零空间的 LDA 改进方法,最后通过实验结果表明了该算法的有效性。但是基于线性判别分析的特征提取算法本身也有缺陷,现在仍有很多未解决的问题。在接下来的学习与工作中,我们还需要一步步讨论与研究。结合本文工作现状,列出下一步研究内容:一、本文使用的人脸数据库都是灰度图像,现实应用中,如何有效的提取彩色特征具有重要的研究意义。二、优化分类器。在人脸识别系统中,设计高性能的分类器具有很重要的现实意义,能够在很大程度上提高人脸识别率。
【百变AI秀】有奖征文火热进行中:https://bbs.huaweicloud.cn/blogs/296704
- 点赞
- 收藏
- 关注作者
评论(0)