数据结构 第六节 第二课
【摘要】
[toc]
树的存储与表示
顺序存储: 将数据结构存储在固定的数组中, 然在遍历速度上有一定的优势, 但因所占空间比较大, 是非主流二叉树. 二叉树通常以链式存储.
链式存储:
由于对于节点的个数无法掌握, 常见树的存储表示转换成二叉树进行处理, 子节点个数最多为 2
常见的一些树的应用场景
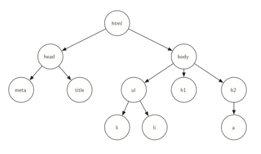
1. xml,...
[toc]
树的存储与表示
顺序存储: 将数据结构存储在固定的数组中, 然在遍历速度上有一定的优势, 但因所占空间比较大, 是非主流二叉树. 二叉树通常以链式存储.

链式存储:

由于对于节点的个数无法掌握, 常见树的存储表示转换成二叉树进行处理, 子节点个数最多为 2
常见的一些树的应用场景
1. xml, html 等, 那么编写这些东西的解释器的时候, 不可避免用到树
2. 路由协议就是使用了树的算法
3. mysql 数据库索引
4. 文件系统的目录结构
5. 所以很多经典的 AI 算法其实都是树搜索, 此外机器学习中的 decision tree 也是树结构

文章来源: iamarookie.blog.csdn.net,作者:我是小白呀,版权归原作者所有,如需转载,请联系作者。
原文链接:iamarookie.blog.csdn.net/article/details/109324777
【版权声明】本文为华为云社区用户转载文章,如果您发现本社区中有涉嫌抄袭的内容,欢迎发送邮件进行举报,并提供相关证据,一经查实,本社区将立刻删除涉嫌侵权内容,举报邮箱:
cloudbbs@huaweicloud.com
- 点赞
- 收藏
- 关注作者
评论(0)