【未完待续】EfficientDet论文阅读与总结
EfficientDet:Scalable and Efficient Object Detection
可扩展且高效的目标检测方法
作者: Mingxing Tan Ruoming Pang Quoc V. Le
单位: Google Research, Brain Team
发表会议及时间: CVPR 2020
研究背景及论文泛读
- 更好的backbone可以为识别网络提供优质的特征, 该如何搭建backbone?
- 更好的特征融合模块可以融合不同尺度的特征, 提高目标检测的reall和precision, 该如何融合?
- 不同设备, 不同任务下, 需要设计不同的检测任务, 能否设计一组不同网络深度、 宽度、 输入分辨率的网络解决这一问题?
基于EfficientNet提出的网络框架

研究成果
- 高效特征融合
- 可适配不同硬件的不同网络结构
- 高精度低参数量

与主流目标检测性能对比

与CascadeRCNN 的比较
CascadeRCNN性能仅与D2在一个量级。

研究意义
- 在保证更小的PARAMS和 FLOPS的基础上, EfficientDet超越了目前的SOTA方法
- 使用复合缩放可以在不同资源限制下对网络结构进行调整(D0 ~ D7)
- EfficientDet中的对比实验表明:
- 在backbone上, EfficientNet比ResNet, ResNeXt要更优(在ResNet50下降低了params和FLOPs且带来了3.0mAP的提升)
- 在neck上, BiFPN比FPN更优(带来了4.0mAP的提升)
文章摘要
- 目前的目标检测, 要不追求更准确的检测效果, 但是花销很大, 要不更有效率, 但牺牲了准确性
- 论文设计了一组目标检测框架, 适应不同约束条件, 同时满足高精度和高效率
- 主要提出了BiFPN,和复合缩放方法
- COCO测试集上以77M参数和410B FLOPs1达到了最新的55.1 AP
论文精读

改进baseline网络的方法
- 调整输入图像的大小
- 网络的深度(卷积层数)
- 宽度(卷积通道数,也就是channel数)
EfficientNet的设想
- 设计一个标准化的卷积网络扩展方法
- 既可以实现较高的准确率,又可以充分的节省算力资源
最终归结为:如何平衡分辨率、深度和宽度这三个维度,来实现网络在效率和准确率上的优化
EfficientNet性能对比图

复合缩放模型
宽度扩大2倍计算量扩大4倍
深度扩大2倍计算量扩大2倍
分辨率扩大2倍计算量扩大4倍

复合模型扩张定义
我们将整个卷积网络称为N,它的第i个卷积层可以表示为:
其中:
: 代表输入张量
: 代表输出张量
整个卷积网络由k个卷积层(亦或者stage)组成,可以表示为:
即:
卷积层 重复 次构成
模型缩放尝试扩展,
- 网络深度(对应系数d)
- 宽度(对应系数w)
- 分辨率(对应系数r)
即:

不同缩放策略的对比
由下图观察可知:
-
更大的网络具有更大的宽度、深度或分辨率,往往可以获得更高的精度
-
精度增益在达到80%后会迅速饱和
-
这表明了只对单一维度进行扩张的局限性
-
模型扩张的各个维度之间并不是完全独立的
-
对于更大的分辨率图像,应该使用更深、更宽的网络,这就意味着需要平衡各个扩张维度,而不是在单一维度扩张
-
最终结论:为了追求更好的精度和效率,在网络缩放过程中需要平衡网络宽度、深度和分辨率等综合维度


复合模型扩张方法
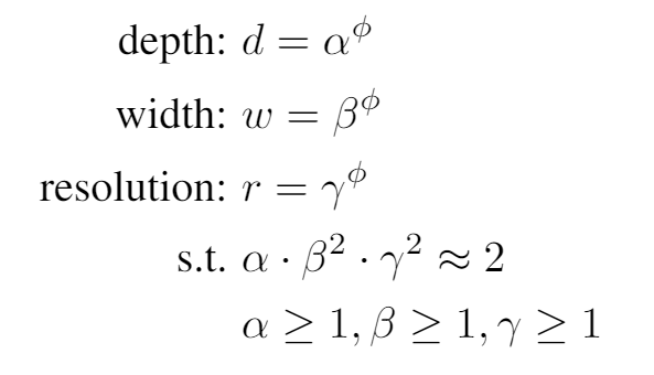
EfficientNet的规范化复合调参方法使用了一个复合系数φ,来对三个参数进行符合调整:

其中的α,β,γ都是常数,通过网格搜索获得。复合系数φ通过人工调节,算力每提升10倍,φ增加3.32(
)
具体为:
- 先设计baseline,基于MobileNetV2+SE用神经网络搜索而来
- 由上述公式,搜索获得α,β,γ,即1.2,1.1,1.15
- 修改复合系数φ得到B1到B7
EfficientNet B0的基本结构

EfficientNet 的 参数组成

BiFPN
常见特征融合形式

BiFPN与其他特征融合形式的比较


Backbone生成特征阶段
- 一般按stage划分,分别记作C1、C2、C3、C4、C5、C6、C7等
- 其中的数字与stage的编号相同,代表的是分辨率减半的次数
特征融合阶段
- 将backbone生成的不同分辨率特征作为输入,输出经过融合后的特征
- 输出的特征一般以P作为编号标记。如输入是C2、C3、C4、C5、C6,输出为P2、P3、P4、P5、P6
检测头输出bounding box
特征融合网络的演化
- 无融合,如SSD
- 自上而下的融合,如Yolov3、RetinaNet、CascadeRCNN
- 简单双向融合,如PANet
- 复杂双向融合,如NAS-FPN和BiFPN
BiFPN融合细节
- 点赞
- 收藏
- 关注作者
评论(0)