Tensor:Pytorch神经网络界的Numpy

Tensor
Tensor,它可以是0维、一维以及多维的数组,你可以将它看作为神经网络界的Numpy,它与Numpy相似,二者可以共享内存,且之间的转换非常方便。
但它们也不相同,最大的区别就是Numpy会把ndarray放在CPU中进行加速运算,而由Torch产生的Tensor会放在GPU中进行加速运算。
对于Tensor,从接口划分,我们大致可分为2类:
- torch.function:如torch.sum、torch.add等。
- tensor.function:如tensor.view、tensor.add等。
而从是否修改自身来划分,会分为如下2类:
- 不修改自身数据,如x.add(y),x的数据不变,返回一个新的Tensor。
- 修改自身数据,如x.add_(y),运算结果存在x中,x被修改。
简单的理解就是方法名带不带下划线的问题。
现在,我们来实现2个数组对应位置相加,看看其效果就近如何:
import torch
x = torch.tensor([1, 2])
y = torch.tensor([3, 4])
print(x + y)
print(x.add(y))
print(x)
print(x.add_(y))
print(x)
运行之后,效果如下:

下面,我们来正式讲解Tensor的使用方式。
创建Tensor
与Numpy一样,创建Tensor也有很多的方法,可以自身的函数进行生成,也可以通过列表或者ndarray进行转换,同样也可以指定维度等。具体方法如下表(数组即张量):
| 函数 | 意义 |
|---|---|
| Tensor(*size) | 直接从参数构造,支持list,Numpy数组 |
| eye(row,column) | 创建指定行列的二维Tensor |
| linspace(start,end,steps) | 从start到end,均匀切分成steps份 |
| logspace(start,end,steps) | 从10^start到10^and,均分成steps份 |
| rand/randn(*size) | 生成[0,1)均匀分布/标准正态分布的数据 |
| ones(*size) | 生成指定shape全为1的张量 |
| zeros(*size) | 生成指定shape全为0的张量 |
| ones_like(t) | 返回与t的shape相同的张量,且元素全为1 |
| zeros_like(t) | 返回与t的shape相同的张量,且元素全为0 |
| arange(start,end,step) | 在区间[start,end)上,以间隔step生成一个序列张量 |
| from_Numpy(ndarray) | 从ndarray创建一个Tensor |
这里需要注意Tensor有大写的方法也有小写的方法,具体效果我们先来看看代码:
import torch
t1 = torch.tensor(1)
t2 = torch.Tensor(1)
print("值{0},类型{1}".format(t1, t1.type()))
print("值{0},类型{1}".format(t2, t2.type()))
运行之后,效果如下:

其他示例如下:
import torch
import numpy as np
t1 = torch.zeros(1, 2)
print(t1)
t2 = torch.arange(4)
print(t2)
t3 = torch.linspace(10, 5, 6)
print(t3)
nd = np.array([1, 2, 3, 4])
t4 = torch.from_numpy(nd)
print(t4)
其他例子基本与上面基本差不多,这里不在赘述。

修改Tensor维度
同样的与Numpy一样,Tensor一样有维度的修改函数,具体的方法如下表所示:
| 函数 | 意义 |
|---|---|
| size() | 返回张量的shape,即维度 |
| numel(input) | 计算张量的元素个数 |
| view(*shape) | 修改张量的shape,但View返回的对象与源张量共享内存,修改一个,另一个也被修改。Reshape将生成新的张量,而不要求源张量是连续的,View(-1)展平数组 |
| resize | 类似与view,但在size超出时,会重新分配内存空间 |
| item | 若张量为单元素,则返回Python的标量 |
| unsqueeze | 在指定的维度增加一个“1” |
| squeeze | 在指定的维度压缩一个“1” |
示例代码如下所示:
import torch
t1 = torch.Tensor([[1, 2]])
print(t1)
print(t1.size())
print(t1.dim())
print(t1.view(2, 1))
print(t1.view(-1))
print(torch.unsqueeze(t1, 0))
print(t1.numel())
运行之后,效果如下:

截取元素
当然,我们创建Tensor张量,是为了使用里面的数据,那么就不可避免的需要获取数据进行处理,具体截取元素的方式如表:
| 函数 | 意义 |
|---|---|
| index_select(input,dim,index) | 在指定维度选择一些行或者列 |
| nonzero(input) | 获取非0元素的下标 |
| masked_select(input,mask) | 使用二元值进行选择 |
| gather(input,dim,index) | 在指定维度上选择数据,输出的维度与index一致(index的类型必须是LongTensor类型的) |
| scatter_(input,dim,index,src) | 为gatter的反操作,根据指定索引补充数据(将src中数据根据index中的索引按照dim的方向填进input中) |
示例代码如下所示:
import torch
# 设置随机数种子,保证每次运行结果一致
torch.manual_seed(100)
t1 = torch.randn(2, 3)
# 打印t1
print(t1)
# 输出第0行数据
print(t1[0, :])
# 输出t1大于0的数据
print(torch.masked_select(t1, t1 > 0))
# 输出t1大于0的数据索引
print(torch.nonzero(t1))
# 获取第一列第一个值,第二列第二个值,第三列第二个值为第1行的值
# 获取第二列的第二个值,第二列第二个值,第三列第二个值为第2行的值
index = torch.LongTensor([[0, 1, 1], [1, 1, 1]])
# 取0表示以行为索引
a = torch.gather(t1, 0, index)
print(a)
# 反操作填0
z = torch.zeros(2, 3)
print(z.scatter_(1, index, a))
运行之后,效果如下:

我们a = torch.gather(t1, 0, index)对其做了一个图解,方便大家理解。如下图所示:

当然,我们直接有公司计算,因为这么多数据标线实在不好看,这里博主列出转换公司供大家参考:
当dim=0时,out[i,j]=input[index[i,j]][j]
当dim=1时,out[i,j]=input[i][index[i][j]]
简单的数学运算
与Numpy一样,Tensor也支持数学运算。这里,博主列出了常用的数学运算函数,方便大家参考:
| 函数 | 意义 |
|---|---|
| abs/add | 绝对值/加法 |
| addcdiv(t,v,t1,t2) | t1与t2逐元素相除后,乘v加t |
| addcmul(t,v,t1,t2) | t1与t2逐元素相乘后,乘v加t |
| ceil/floor | 向上取整/向下取整 |
| clamp(t,min,max) | 将张量元素限制在指定区间 |
| exp/log/pow | 指数/对数/幂 |
| mul(或*)/neg | 逐元素乘法/取反 |
| sigmoid/tanh/softmax | 激活函数 |
| sign/sqrt | 取符号/开根号 |
需要注意的是,上面表格所有的函数操作均会创建新的Tensor,如果不需要创建新的,使用这些函数的下划线"_"版本。
示例如下:
t = torch.Tensor([[1, 2]])
t1 = torch.Tensor([[3], [4]])
t2 = torch.Tensor([5, 6])
# t+0.1*(t1/t2)
print(torch.addcdiv(t, 0.1, t1, t2))
# t+0.1*(t1*t2)
print(torch.addcmul(t, 0.1, t1, t2))
print(torch.pow(t,3))
print(torch.neg(t))
运行之后,效果如下:

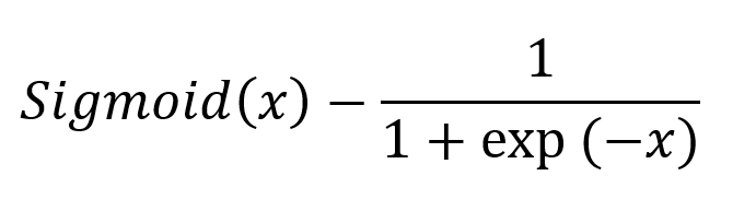
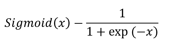
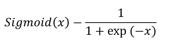
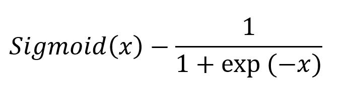
上面的这些函数都很好理解,只有一个函数相信没接触机器学习的时候,不大容易理解。也就是sigmoid()激活函数,它的公式如下:

归并操作
简单的理解,就是对张量进行归并或者说合计等操作,这类操作的输入输出维度一般并不相同,而且往往是输入大于输出维度。而Tensor的归并函数如下表所示:
| 函数 | 意义 |
|---|---|
| cumprod(t,axis) | 在指定维度对t进行累积 |
| cumsum | 在指定维度对t进行累加 |
| dist(a,b,p=2) | 返回a,b之间的p阶范数 |
| mean/median | 均值/中位数 |
| std/var | 标准差/方差 |
| norm(t,p=2) | 返回t的p阶范数 |
| prod(t)/sum(t) | 返回t所有元素的积/和 |
示例代码如下所示:
t = torch.linspace(0, 10, 6)
a = t.view((2, 3))
print(a)
b = a.sum(dim=0)
print(b)
b = a.sum(dim=0, keepdim=True)
print(b)
运行之后,效果如下:

需要注意的是,sum函数求和之后,dim的元素个数为1,所以要被去掉,如果要保留这个维度,则应当keepdim=True,默认为False。
比较操作
在量化交易中,我们一般会对股价进行比较。而Tensor张量同样也支持比较的操作,一般是进行逐元素比较。具体函数如下表:
| 函数 | 意义 |
|---|---|
| equal | 比较张量是否具有相同的shape与值 |
| eq | 比较张量是否相等,支持broadcast |
| ge/le/gt/lt | 大于/小于比较/大于等于/小于等于比较 |
| max/min(t,axis) | 返回最值,若指定axis,则额外返回下标 |
| topk(t,k,dim) | 在指定的dim维度上取最高的K个值 |
示例代码如下所示:
t = torch.Tensor([[1, 2], [3, 4]])
t1 = torch.Tensor([[1, 1], [4, 4]])
# 获取最大值
print(torch.max(t))
# 比较张量是否相等
# equal直接返回True或False
print(torch.equal(t, t1))
# eq返回对应位置是否相等的布尔值与两者维度相同
print(torch.eq(t, t1))
# 取最大的2个元素,返回索引与值
print(torch.topk(t, 1, dim=0))
运行之后,输出如下:

矩阵运算
机器学习与深度学习中,存在大量的矩阵运算。与Numpy一样常用的矩阵运算一样,一种是逐元素相乘,一种是点积乘法。函数如下表所示:
| 函数 | 意义 |
|---|---|
| dot(t1,t2) | 计算t1与t2的点积,但只能计算1维张量 |
| mm(mat1,mat2) | 计算矩阵乘法 |
| bmm(tatch1,batch2) | 含batch的3D矩阵乘法 |
| mv(t1,v1) | 计算矩阵与向量乘法 |
| t | 转置 |
| svd(t) | 计算t的SVD分解 |
这里有3个主要的点积计算需要区分,dot()函数只能计算1维张量,mm()函数只能计算二维的张量,bmm只能计算三维的矩阵张量。示例如下:
# 计算1维点积
a = torch.Tensor([1, 2])
b = torch.Tensor([3, 4])
print(torch.dot(a, b))
# 计算2维点积
a = torch.randint(10, (2, 3))
b = torch.randint(6, (3, 4))
print(torch.mm(a, b))
# 计算3维点积
a = torch.randint(10, (2, 2, 3))
b = torch.randint(6, (2, 3, 4))
print(torch.bmm(a, b))
运行之后,输出如下:

- 点赞
- 收藏
- 关注作者
评论(0)