声音分类—深度神经网络实践
一、概念介绍
深度神经网络(Deep Neural Networks)是深度学习的基础,是近年来计算机人工智能领域非常火的研究方向,其相比传统的浅层机器学习而言能够挖掘出更多隐含的特征。神经网络以其与人类神经元相类似的元素通过相互连接形成网络拓扑结构,而这种模型能够自主挖掘更深层次特征。声音信号是一维时域信号,通过傅里叶变换,到频域上可以看出信号的频率分布,可以通过时域和频域信息通过深度学习的方法来实现声音分类。

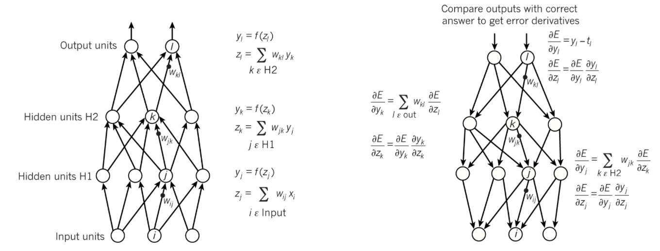
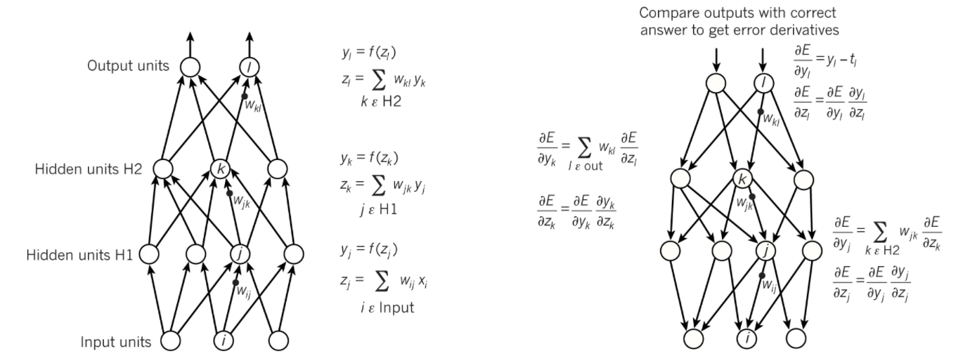
上图是神经网络的示意图,可以分为输入层、隐藏层和输出层。输入层到隐藏层,隐藏层到输出层之间是与权值w的线性加权,有时也会加上偏置b,得到z再经过激活层,常见的如阶跃函数、sigmoid和relu函数。上面左图是神经网络的前向传播,右图是神经网络的反向传播。
二、在ModelArts上的实践
可以订阅ModelArts的算法来入门和熟悉声音分类的的使用流程。
3.1 准备数据集
可以在AI Gallery的“算法”中点击“声音分类”。

可以选择声音分类适用的数据集ECS-50。

点击“下载”。

填写数据集在OBS桶内下载的目标位置。

选择“数据管理”中的“数据集”,点击“创建数据集”。

创建数据集,注意此时“数据输入位置”和“数据输出位置”均选择空的文件夹。

进入新创建的数据集,点击右上角“导入”,在“对象存储服务(OBS)目录位置”填写刚才数据下载的位置。

3.2 订阅ResNeSt算法
在算法内选择“中文文本分类-Bert”。

点击“订阅”并进入控制台。

3.3 训练Bert模型
进入控制台后可以选择目前最新的算法版本点击“创建训练作业”。

创建训练作业后只需要填写数据输入和模型输出train_url,超参数据可以选择默认值,也可以根据实际情况修改,创建完毕后点击“提交”。超参数据说明可参考:https://marketplace.huaweicloud.cn/markets/aihub/modelhub/detail/?id=6889bd98-b49d-4953-8c2f-15b6b9320a40

训练完成后可以查看该训练作业的配置信息、日志、资源占用情况和评估结果。
3.4 在线推理部署
点击“创建模型”。
选择“从训练中选择”-“训练作业”后就能根据已经训练好的训练作业来导入模型。

选择刚才训练好的训练作业来导入模型,点击“立即创建”。模型导入完成后选择在线服务中的部署。

选择导入的模型做推理服务。

等推理部署成功后,上传本地的文件进行预测。

- 点赞
- 收藏
- 关注作者
评论(0)