集装箱码头岸桥计划介绍
码头是供船舶靠泊、货物装卸和旅客上下的水工建筑物,根据用途可以分为集装箱码头、通用码头、散货码头、液化码头、滚装码头和客运码头等。随着集装箱化运输成为世界各国交通运输现代化的主要标志,集装箱码头也已成为国际物流网络的重要节点。

集装箱码头的主要场景可划分为集港、提箱、装船、卸船四大业务,其中船舶装卸作为集装箱码头的主营业务,是一个非常复杂的系统性工程,涉及到各种生产资源、信息和部门的配合。因此如何优化船舶装卸流程,不断提升船舶装卸效率是集装箱码头发展的关键。其中岸桥作为集装箱码头最重要的设备, 其计划和调度的合理性对船舶装卸起到关键作用,进而影响整个码头的运行。高质量的岸桥作业计划在缩短船舶在港时间、提高码头效率、降低码头能耗和增强码头服务质量等方面, 具有重要意义。
本文针对集装箱码头中的岸桥计划展开介绍。
一、相关概念
集装箱船结构
集装箱船作为实现集装箱码头间的运输工具,是专门运输集装箱的船舶。其主要结构如下图所示,包括可用于装载集装箱的货舱和甲板部分,以及生活区和烟囱等非装载部分。

贝位(Bay)
在集装箱船舶从船首到船尾的同一水平线上(一般为主干甲板的相同平面),以20ft集装箱作为模数,纵向进行排列的箱位,称为贝位。其编号规则为在同一水平线上,以20ft集装箱为模数,用奇数从船首至船尾进行编号(如01、03、05…)而介于两奇数之间的相邻偶数则表示40ft集装箱的贝位(01、03间用02表示)。
|
2 |
6 |
10 |
14 |
18 |
|||||
|
1 |
3 |
5 |
7 |
9 |
11 |
13 |
15 |
17 |
19 |
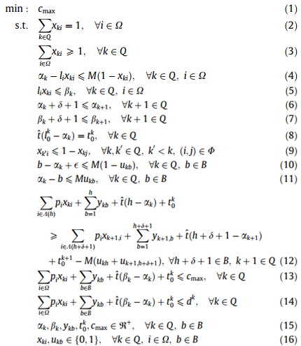
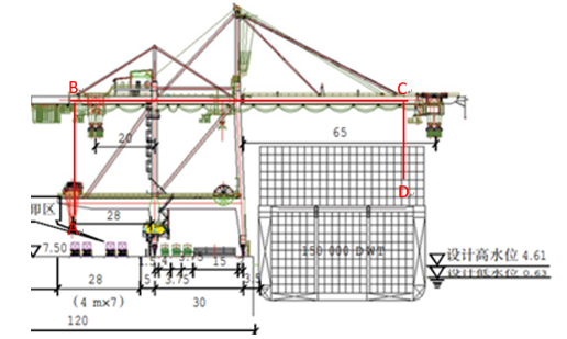
岸桥(Quay Crane)
岸边集装箱起重机(简称岸桥)是集装箱码头专门用于对集装箱船进行装卸作业的专业设备,安装在港口码头岸边。

Move
Move 表示一个完整的岸桥操作周期,下图中即为装载时岸桥一个周期的过程(A-B-C-D-C-B-A)。在为岸桥制定作业计划时,Move 作为基本的工作量单位。

二、问题描述
岸桥作业计划是单条船舶装卸作业时,分配给各岸桥的工作计划。具体来说,岸桥作业计划需要在满足各项约束的情况下,以最小化单船完工时间为主要目标,确定各岸桥的作业范围和作用顺序。计划结果可以用不同形式进行展示,下面两图分别侧重展示了各岸桥的作业范围和任务数量,以及岸桥的作业时间和作业顺序(注:两者无对应关系)。


已知信息:
制定岸桥作业计划前需要获取的已知信息包括:
- 进口船图:列明进口集装箱在船舶上具体位置的图表,用于计算岸桥的卸载工作量。
- 预配船图/实配船图:列明出口集装箱在船舶上具体位置的图表,用于计算岸桥的装载工作量。
- 船舶信息:包含待计划船舶的可作业时间和船舶结构等。
- 岸桥信息:岸桥的数量、可用时间以及移动范围等。
- 计划停时:
岸桥换贝时间:可分为一般的换贝移动和过生活区和烟囱的收起悬臂移动;
固定时间:换班时间、吃饭时间等; - 设定的卸船效率和装船效率;
约束条件:
岸桥在实际作业中需要满足的约束包括:
1. 固定顺序约束:所有岸桥共用同一轨道,因此岸桥顺序固定,不可交叉跨越作业;
2. 岸桥数量约束:各时段可用岸桥数量有限;
3. 时间窗约束:每个岸桥存在开始时间和离开时间;
4. 安全距离约束:同时作业的两个岸桥间存在安全距离限制;
5. 移动范围约束:每台岸桥由于线缆长度限制,仅可在一定范围内作业;
6. 作业模式约束,如要求所有岸桥单向作业或卸船顺序从船尾到船头,装船顺序从船头到船尾等;
优化目标:
- 主要目标:船舶完工时间最小
- 其他目标:
-
- 总等待时间最短;
- 各岸桥完工时间方差最小;
- 作业能耗最小;
三、求解方法
针对于不同的约束条件和优化目标,研究人员设计了多种算法求解该问题,主要可以分为基于数学规划的算法和启发式算法。
下面介绍一个基于数学规划的算法。算法针对的问题考虑了岸桥的固定顺序、岸桥数量、时间窗以及安全距离约束,并要求所有岸桥单向作业,优化目标为船舶完工时间最小。
其数学模型如下:



其中(1)表示目标函数为最小化整条船舶的完工时间。约束(2)确保每个任务都由一台岸桥处理,约束(3)确保每台岸桥至少应分配一项任务。约束(4)和(5)定义了岸桥移动的边界。约束(6)和(7)根据安全距离约束规定了边界的性质。约束(8)定义了岸桥从其初始位置到开始作业位置的行程时间。约束(9)发挥着非常重要的作用:由于岸桥从船头到船尾单向移动,任务 i 必须在任务 j 之前完成,如果任务 j 被分配给岸桥k,那么就不可能将任务 i 分配给另一个岸桥k’ (k‘ < k)。约束(10)和(11)定义了决策变量ukb。约束(12)左侧计算了岸桥 k 即将移动到贝 h 的时间,右侧则是岸桥 k+1 离开 贝 (h+\delta+1)的时间。总之,通过约束(12),任何两个相邻的岸桥都不会违反固定顺序约束和安全距离约束。约束(13)确保只有在所有岸桥完成分配的工作后,船舶才能完工。同样,约束(14)限制了所有岸桥的到期时间。最后,约束(15)和(16)定义了所有决策变量。
在给出以上数学模型后,即可调用数学规划求解器进行求解,最终得到岸桥计划。
更多岸桥计划算法见参考文献。
四、总结
岸桥作为集装箱码头最关键的生产设备, 其计划的合理性对船舶装卸起到重要作用,进而影响整个码头的运行。岸桥在实际作业中涉及多种场景,因此存在不同的约束条件和目标,并由此产生了多种多样的求解算法。此外,由于岸桥在整个码头生产流程中的中枢作用,近些年许多研究将泊位与岸桥、岸桥与水平运输乃至场桥协同计划,以提升整个集装箱码头的生产效率。
参考文献:
- Chen J H, Lee D H, Goh M. An effective mathematical formulation for the unidirectional cluster-based quay crane scheduling problem[J]. European Journal of Operational Research, 2014, 232(1): 198-208.
- Kim K H, Park Y M. A crane scheduling method for port container terminals[J]. European Journal of operational research, 2004, 156(3): 752-768.
- Legato P, Trunfio R, Meisel F. Modeling and solving rich quay crane scheduling problems[J]. Computers & Operations Research, 2012, 39(9): 2063-2078.
- Bierwirth C, Meisel F. A fast heuristic for quay crane scheduling with interference constraints[J]. Journal of Scheduling, 2009, 12(4): 345-360.
- Stahlbock R, Voß S. Operations research at container terminals: a literature update[J]. OR spectrum, 2008, 30(1): 1-52.
- Bierwirth C, Meisel F. A survey of berth allocation and quay crane scheduling problems in container terminals[J]. European Journal of Operational Research, 2010, 202(3): 615-627.
- Chen L, Langevin A, Lu Z. Integrated scheduling of crane handling and truck transportation in a maritime container terminal[J]. European Journal of Operational Research, 2013, 225(1): 142-152.
- 点赞
- 收藏
- 关注作者
评论(0)