多任务学习中的目标权重平衡
1 简介:
多任务学习包括深度网络的构建和优化策略的选择,本文主要讲解优化策略部分,介绍一种平衡多个任务的损失函数的方法:动态权重平均。

2 优化策略(task balancing):
- 传统多任务目标函数构造的问题:
多任务损失函数定义如下:

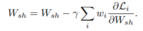
相应的,随机梯度下降的权重更新公式如下:

(注释:这里是共享层最后一层的权重,具体和多任务学习的网络构造有关,这里不做具体介绍。)
当某一个任务的梯度占据主导地位,或者任务梯度冲突时,权重更新可能并不是最优的。
- 改进方法(动态权重平均,Dynamic Weight Averaging(DWA))
动态权重平均通过调整每个任务的权重$w_i$来实现每个任务学习速率相近。

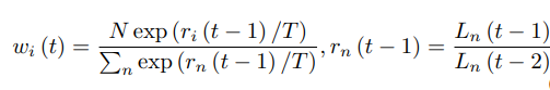
核心公式如下:

其中,$w_i$为每个任务的权重,N为任务个数,T为一个常数,T越大,每个任务的损失权重越均匀。
$r_n(t-1)$为连续两个时刻loss相除的结果,越小,表明训练速度越快。
所以可以看出,训练速度越快的任务,对应的权重就会变小,这样就达到了平衡每个任务学习速率的目的。
3 参考文献
[1]. Vandenhende S, Georgoulis S, Van Gansbeke W, et al. Multi-Task Learning for Dense Prediction Tasks: A Survey[J]. arXiv preprint arXiv:2004.13379, 2020.
[2]. Liu S, Johns E, Davison A J. End-to-end multi-task learning with attention[C]//Proceedings of the IEEE/CVF Conference on Computer Vision and Pattern Recognition. 2019: 1871-1880.
- 点赞
- 收藏
- 关注作者
评论(0)