GCN(Graph Convolutional Network) 入门
【摘要】 GCN入门 为什么需要GCN GCN的演进 第一代GCN 第二代GCN 第三代GCN 公式推导 拉普拉斯矩阵 参考文献 GCN入门 为什么需要GCNCNN之所以可以在图像识别领域具有重要作用,主要是因为CNN利用了图片在其域中的平移不变性。如下图所示。而且图片也是一个规整的二维矩阵但是许多非结构化数据并不具备规整的二维矩阵,如下图所示 GCN的演进 第一代GCN首先考虑到卷积定理在适当条件...
GCN入门
为什么需要GCN
CNN之所以可以在图像识别领域具有重要作用,主要是因为CNN利用了图片在其域中的平移不变性。如下图所示。而且图片也是一个规整的二维矩阵

但是许多非结构化数据并不具备规整的二维矩阵,如下图所示

GCN的演进
第一代GCN
- 首先考虑到卷积定理
在适当条件下,两个信号的卷积的傅里叶变化是他们傅里叶变化的点积。
-
基于上述定理,既然我们无法对graph数据直接进行卷积操作,那么我们就可以先对其转化进行傅里叶变化,然后再做点积,然后再做反向的傅里叶变化。
-
傅里叶变化的定义: ,其中U为我们拉普拉斯分解的正交矩阵,里面每个向量都为一个基向量。
-
对应的逆变化为
-
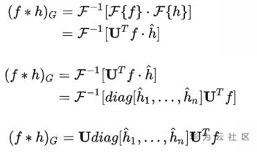
具体来说公式如下所示,其中 代表的是傅里叶变化。f代表的是我们原有的graph数据,h代表的是我们的卷积核。
- f的维度可以是[N, D],其中N为节点的个数,D为特征的维度
- 之所以不把h也写成傅里叶变化的形式是因为h是learnable的参数,学习傅里叶变化后的参数和直接学习本身是一致的。
- 整个graph的邻接矩阵是蕴含在U里面的。
- U的定义为
,其中D为度矩阵,A为带权邻接矩阵。其具体的推到见下一章所示。

-
直观来讲,h就是我们需要学习的参数。通过卷积定理,我们把卷积操作转化成了点乘的操作。
第二代GCN
- 上面我们介绍了第一代的GCN,但是它主要有以下几个缺点
- 计算复杂度太高,我们需要对拉普拉斯矩阵分解得到特征矩阵向量U,其时间复杂度为
- 为了解决上述问题,作者提出了第二代的GCN,ChebNet。
- 作者引入了 阶多项式来表示拉普拉斯的特征矩阵向量U
第三代GCN
- 第二代卷积解决了U的特征向量分解的问题,但是在计算图卷积的过程中,我们仍然需要计算矩阵乘法,每次的时间复杂度都会O(n^2),n代表的是图中节点的个数。对于我们一个庞大的图来时,时间复杂度较高。
- 为了解决上述问题,作者提出了下述的多层图卷积网络传播规则,其中
,
代表的是邻接矩阵,
代表的是单位矩阵,所以
可以理解为添加自连接的邻接矩阵。
代表的是节点的度矩阵。
代表的是参数。
代表的是激活函数。
,

公式推导
拉普拉斯矩阵
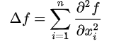
- 为什么拉普拉斯矩阵的定义为 ,我们首先需要了解什么是拉普拉斯算子
拉普拉斯算子(Laplacian)是由欧几里得空间中的一个函数的梯度的散度给出的微分算子

-
这里引入了一个新的概念——散度,这里简单介绍下:散度(Divergence)是向量分析的一个向量算子,将向量空间上的向量场(矢量场)对应到一个标量场。散度描述的是向量场里一个点是汇聚点还是发源点。值为正时表示该点为发源点,值为负时表示该点为汇聚点。当拉普拉斯算子为整的正的时候,代表原函数的变化会越来越快,所以是发散的。当算子未负的时候,代表变化会越来越慢,所以是汇聚的。
-
拉普拉斯算子在笛卡尔坐标系中的定义为,数学表示为各个维度的二阶导数之和。

-
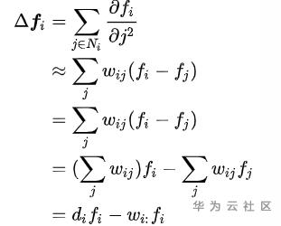
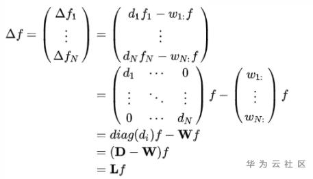
我们将其推广到图中,则有


参考文献
【声明】本内容来自华为云开发者社区博主,不代表华为云及华为云开发者社区的观点和立场。转载时必须标注文章的来源(华为云社区)、文章链接、文章作者等基本信息,否则作者和本社区有权追究责任。如果您发现本社区中有涉嫌抄袭的内容,欢迎发送邮件进行举报,并提供相关证据,一经查实,本社区将立刻删除涉嫌侵权内容,举报邮箱:
cloudbbs@huaweicloud.com
- 点赞
- 收藏
- 关注作者





评论(0)