leetcode589. N叉树的前序遍历
【摘要】 给定一个 N 叉树,返回其节点值的前序遍历。
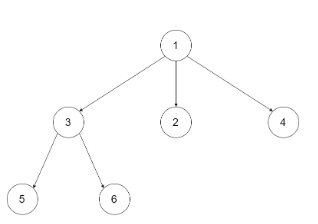
例如,给定一个 3叉树 :
返回其前序遍历: [1,3,5,6,2,4]。
思路:先放入自己,再依次遍历孩子。
/*// Definition for a Node.class Node { public int val; public List<Node> children;...
给定一个 N 叉树,返回其节点值的前序遍历。
例如,给定一个 3叉树 :

返回其前序遍历: [1,3,5,6,2,4]。
思路:先放入自己,再依次遍历孩子。
-
/*
-
// Definition for a Node.
-
class Node {
-
public int val;
-
public List<Node> children;
-
-
public Node() {}
-
-
public Node(int _val) {
-
val = _val;
-
}
-
-
public Node(int _val, List<Node> _children) {
-
val = _val;
-
children = _children;
-
}
-
};
-
*/
-
-
class Solution {
-
List<Integer> res=new ArrayList<Integer>();
-
public List<Integer> preorder(Node root) {
-
helper(root);
-
return res;
-
}
-
public void helper(Node root){
-
if (root==null) return;
-
res.add(root.val);
-
for (int i = 0; i <root.children.size() ; i++) {
-
helper(root.children.get(i));
-
}
-
}
-
}
文章来源: fantianzuo.blog.csdn.net,作者:兔老大RabbitMQ,版权归原作者所有,如需转载,请联系作者。
原文链接:fantianzuo.blog.csdn.net/article/details/105827672
【版权声明】本文为华为云社区用户转载文章,如果您发现本社区中有涉嫌抄袭的内容,欢迎发送邮件进行举报,并提供相关证据,一经查实,本社区将立刻删除涉嫌侵权内容,举报邮箱:
cloudbbs@huaweicloud.com
- 点赞
- 收藏
- 关注作者
评论(0)