目标检测论文解读PAA:Probabilistic Anchor Assignment with IoU Prediction
【摘要】 论文地址:https://arxiv.org/pdf/2007.08103.pdfmotivation目标检测中anchor的正负样本分配是核心步骤,影响模型最终的性能。以往大都根据人为设定预测框与GT的IOU阈值划分正负样本,忽视了bbox本身的类别训练阶段和测试阶段不统一,测试阶段没有GT,即没有IOU指标可以衡量 contribution通过高斯混合模型,对正负样本建模,自适应...
论文地址:https://arxiv.org/pdf/2007.08103.pdf
motivation
- 目标检测中anchor的正负样本分配是核心步骤,影响模型最终的性能。以往大都根据人为设定预测框与GT的IOU阈值划分正负样本,忽视了bbox本身的类别
- 训练阶段和测试阶段不统一,测试阶段没有GT,即没有IOU指标可以衡量
contribution
- 通过高斯混合模型,对正负样本建模,自适应动态划分正负样本,模型可解释性更强
- 分配正负样本取决于cls和box的综合得分,使得bbox的类别也被考虑,更有利于正负样本划分
- 增加分支对预测框和GT的IOU预测,训练阶段使用真实IOU,测试阶段使用预测IOU,使得训练测试保持一致
method
Probabilistic Anchor Assignment Algorithm
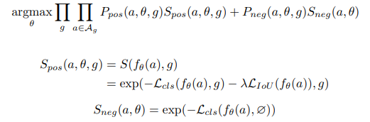
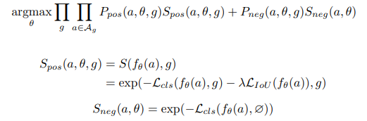
该方法的目标主要考虑三个关键点,一是使用模型衡量预测框的质量,二是自适应的划分预测框的正负类,三是基于概率最大化分配正负样本
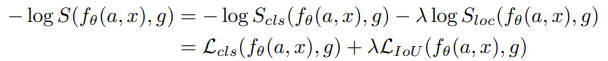
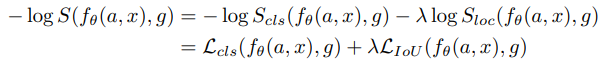
- 将预测框的分数定义为其质量,具体做法将分类和回归的得分相乘:

- 其中,Scls和Sloc 分别表示分类和回归得分,x和fθ分别表示输入图像和带参数θ模型,λ用来控制两个乘积项的权重,Sloc用交并比来定义:

- 对其取负对数得:

- 对上述综合得分作为从概率分布中抽取的样本,建立高斯混合模型,并基于概率自适应的分配正负样本:

下图展示了几种不同的正负样本划分方式

loss

IoU Prediction as Localization Quality
为了使训练和测试阶段保持一致,在预测cls和box的同时增加IOU预测分支,仅需要单层卷积网络,这里每个点对应一个anchor

Experiments
- 下图展示了训练过程中中锚框的分配和预测框

- 实验证明上述几种正负样本划分策略对结果基本一致,FNP表示fixed numbers of positives,FSR表示fixed positive score ranges

- 和其他方法的对比

【声明】本内容来自华为云开发者社区博主,不代表华为云及华为云开发者社区的观点和立场。转载时必须标注文章的来源(华为云社区)、文章链接、文章作者等基本信息,否则作者和本社区有权追究责任。如果您发现本社区中有涉嫌抄袭的内容,欢迎发送邮件进行举报,并提供相关证据,一经查实,本社区将立刻删除涉嫌侵权内容,举报邮箱:
cloudbbs@huaweicloud.com
- 点赞
- 收藏
- 关注作者
评论(0)