PyTorch入门笔记-PyTorch初见
【摘要】 PyTorch入门视频笔记-PyTorch初见。
1. 深度学习框架介绍
2016年10月,Facebook 人工智能研究院(FAIR)基于 Torch 推出了测试版本的PyTorch。它是一个基于Python的可续计算包,提供两个高级功能:
-
具有强大的GPU加速的张量计算(如NumPy);
-
包含自动求导系统的的深度神经网络;
2018年12月发布了第一个正式版本 PyTorch1.0,其中在 PyTorch0.3 和 PyTorch0.4 之间有了较大的更新,可能会有部分不兼容的情况,也就是说如果想要在 PyTorch0.4 以后的版本中运行PyTorch0.3以前的代码需要进行少量的代码修改。

目前比较公认的前两名深度学习框架为 PyTorch 和 TensorFlow1.X(TensorFlow2.X支持动态图),这两个框架最本质的区别是动态图优先还是静态图优先。
-
动态图能够让程序按照我们编写的代码顺序来执行,这种机制更加容易进行调试,可以将想法思路直接通过代码的展现出来。

-
静态图能够允许编译器进行更大程序的优化,将创建计算图和运算计算图进行分离,这意味着代码的调试更加困难,无法及时发现代码中的错误。在 TensorFlow1.X 中获取节点结果需要在 Session 会话中运算计算图。静态图中的计算图一旦定义好,在运算的时候是不允许改变的。
# 创建计算图
x_ph = tf.placeholder(tf.int32, name = 'x')
y_ph = tf.placeholder(tf.int32, name = 'y')
z_ph = tf.multiply(x_ph, y_ph, name = 'x * y')
# 运算计算图
with tf.Session() as sess:
z_val = sess.run(z_ph, feed_dict = {x_ph: [8], y_ph: [9]})
print(z_val)
对于研究人员推荐使用PyTorch,对于工程师来说推荐TensorFlow2.X。
2. PyTorch能干什么?
-
GPU加速
import torch
import time
print(torch.__version__)
print(torch.cuda.is_available())
# print('hello, world.')
a = torch.randn(10000, 1000)
b = torch.randn(1000, 2000)
t0 = time.time()
c = torch.matmul(a, b)
t1 = time.time()
print(a.device, t1 - t0, c.norm(2))
device = torch.device('cuda')
a = a.to(device)
b = b.to(device)
# 第一次在cuda上面运行的时候需要完成一些环境的初始化
t0 = time.time()
c = torch.matmul(a, b)
t2 = time.time()
print(a.device, t2 - t0, c.norm(2))
t0 = time.time()
c = torch.matmul(a, b)
t2 = time.time()
print(a.device, t2 - t0, c.norm(2))
-
自动求导
![]()
import torch
from torch import autograd
x = torch.tensor(1.)
# requires_grad = True为可以进行求导张量
# 求导的张量必须为浮点类型
a = torch.tensor(1., requires_grad = True)
b = torch.tensor(2., requires_grad = True)
c = torch.tensor(3., requires_grad = True)
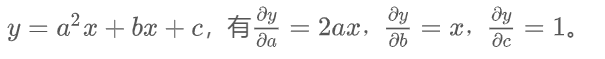
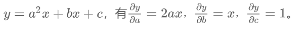
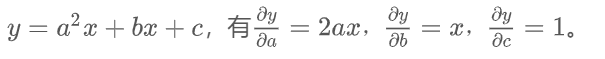
y = a**2 * x + b * x + c
print('before:', a.grad, b.grad, c.grad) # before: None None None
# 计算y对a, b, c的导数
grads = autograd.grad(y, [a, b, c])
print('after:', grads[0], grads[1], grads[2]) # after: tensor(2.) tensor(1.) tensor(1.)
![]()
reference:
- 龙良曲深度学习与PyTorch入门实战:https://study.163.com/course/introduction/1208894818.htm
【版权声明】本文为华为云社区用户原创内容,未经允许不得转载,如需转载请自行联系原作者进行授权。如果您发现本社区中有涉嫌抄袭的内容,欢迎发送邮件进行举报,并提供相关证据,一经查实,本社区将立刻删除涉嫌侵权内容,举报邮箱:
cloudbbs@huaweicloud.com
- 点赞
- 收藏
- 关注作者
评论(0)