梯度下降方法(下)
2 梯度下降法大家族
首先,我们来看一下,常见的梯度下降算法有:
全梯度下降算法(Full gradient descent),
随机梯度下降算法(Stochastic gradient descent),
小批量梯度下降算法(Mini-batch gradient descent),
随机平均梯度下降算法(Stochastic average gradient descent)
它们都是为了正确地调节权重向量,通过为每个权重计算一个梯度,从而更新权值,使目标函数尽可能最小化。其差别在于样本的使用方式不同。
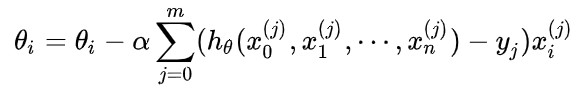
2.1 全梯度下降算法(FG)
批量梯度下降法,是梯度下降法最常用的形式,具体做法也就是在更新参数时使用所有的样本来进行更新。
计算训练集所有样本误差,对其求和再取平均值作为目标函数。
权重向量沿其梯度相反的方向移动,从而使当前目标函数减少得最多。
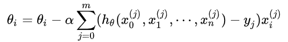
其是在整个训练数据集上计算损失函数关于参数
的梯度:

由于我们有m个样本,这里求梯度的时候就用了所有m个样本的梯度数据。
注意:
因为在执行每次更新时,我们需要在整个数据集上计算所有的梯度,所以批梯度下降法的速度会很慢,同时,批梯度下降法无法处理超出内存容量限制的数据集。
批梯度下降法同样也不能在线更新模型,即在运行的过程中,不能增加新的样本。
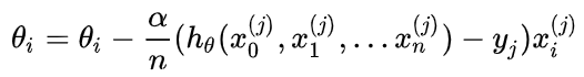
2.2 随机梯度下降算法(SG)
由于FG每迭代更新一次权重都需要计算所有样本误差,而实际问题中经常有上亿的训练样本,故效率偏低,且容易陷入局部最优解,因此提出了随机梯度下降算法。
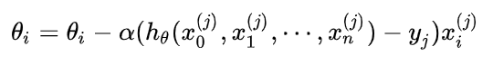
其每轮计算的目标函数不再是全体样本误差,而仅是单个样本误差,即每次只代入计算一个样本目标函数的梯度来更新权重,再取下一个样本重复此过程,直到损失函数值停止下降或损失函数值小于某个可以容忍的阈值。
此过程简单,高效,通常可以较好地避免更新迭代收敛到局部最优解。其迭代形式为

但是由于,SG每次只使用一个样本迭代,若遇上噪声则容易陷入局部最优解。
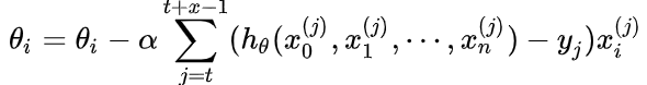
2.3 小批量梯度下降算法(mini-batch)
小批量梯度下降算法是FG和SG的折中方案,在一定程度上兼顾了以上两种方法的优点。
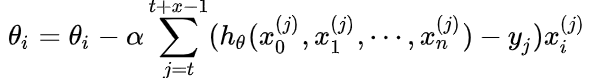
每次从训练样本集上随机抽取一个小样本集,在抽出来的小样本集上采用FG迭代更新权重。
被抽出的小样本集所含样本点的个数称为batch_size,通常设置为2的幂次方,更有利于GPU加速处理。
特别的,若batch_size=1,则变成了SG;若batch_size=n,则变成了FG.其迭代形式为

上式中,也就是我们从m个样本中,选择x个样本进行迭代(1<x<m),
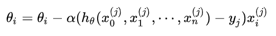
2.4 随机平均梯度下降算法(SAG)
在SG方法中,虽然避开了运算成本大的问题,但对于大数据训练而言,SG效果常不尽如人意,因为每一轮梯度更新都完全与上一轮的数据和梯度无关。
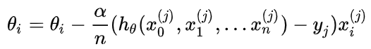
随机平均梯度算法克服了这个问题,在内存中为每一个样本都维护一个旧的梯度,随机选择第i个样本来更新此样本的梯度,其他样本的梯度保持不变,然后求得所有梯度的平均值,进而更新了参数。
如此,每一轮更新仅需计算一个样本的梯度,计算成本等同于SG,但收敛速度快得多。
其迭代形式为:

我们知道sgd是当前权重减去步长乘以梯度,得到新的权重。sag中的a,就是平均的意思,具体说,就是在第k步迭代的时候,我考虑的这一步和前面n-1个梯度的平均值,当前权重减去步长乘以最近n个梯度的平均值。
n是自己设置的,当n=1的时候,就是普通的sgd。
这个想法非常的简单,在随机中又增加了确定性,类似于mini-batch sgd的作用,但不同的是,sag又没有去计算更多的样本,只是利用了之前计算出来的梯度,所以每次迭代的计算成本远小于mini-batch sgd,和sgd相当。效果而言,sag相对于sgd,收敛速度快了很多。这一点下面的论文中有具体的描述和证明。
SAG论文链接:https://arxiv.org/pdf/1309.2388.pdf
3 小结
- 点赞
- 收藏
- 关注作者
评论(0)