深度神经网络--3.2 反向传播
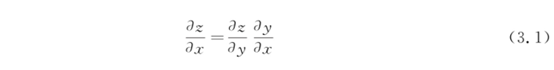
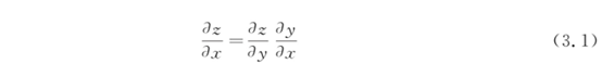
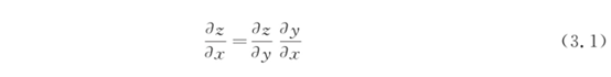
第1章中介绍了梯度下降算法训练回归模型,神经网络模型也一样需要使用梯度下降算法来更新参数。然而一个神经网络通常会有上百万的参数,那么如何高效地计算这百万级别的参数是需要重点考虑的问题。神经网络中使用反向传播(Backward Propagation)算法,使得计算梯度更加有效率。在介绍反向传播之前,先来介绍一下链式法则。假设有两个函数y=g(x)和z=h(y),那么z对x的求导过程如下:

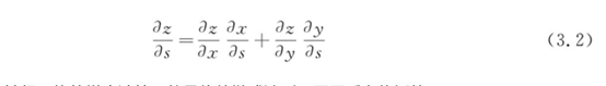
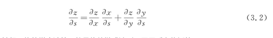
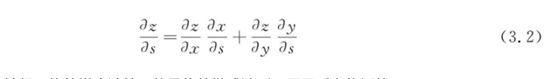
假设有三个函数x=g(s)、y=h(s)和z=k(x,y),z对s的求导过程如下:

神经网络的梯度计算,就是依赖链式法则一层层反向传播的。如图3.4所示的前向神经网络,输入层有n个属性x1,x2,…,xn,中间隐藏层有p个神经元,第j个神经元为hj,j∈(0,p-1)。

输出层为q维。对隐藏层的每一个神经元hj,先经过一个线性变换,公式如下:

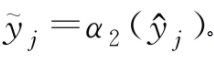
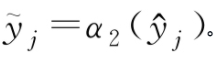
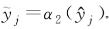
式中,wj0——偏置值;wj1,wj2,…,wjn——作用在属性x1,x2,…,xn上的权重。[插图]输入给神经元后,经过激活函数的作用得到[插图]。第二层同理有神经元输入:

输出
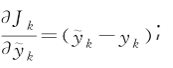
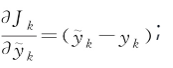
。以上为前向神经网络的前向传播(ForwardPropagation)过程。对单个数据样本(x,y),假设损失函数为均方差,则对第k个输出项的损失为:

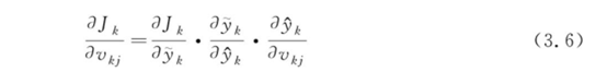
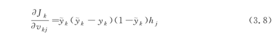
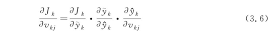
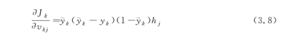
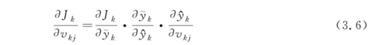
通过链式法则,损失函数对权重vkj的梯度为:

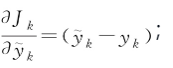
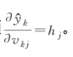
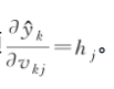
式中,第一项
第三项
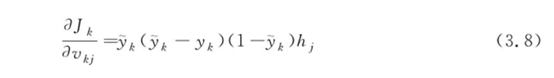
而对于第二项,假设激活函数为sigmoid函数,则梯度有一个很好的性质,即:

三项相乘可以得到:

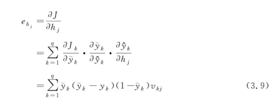
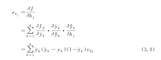
由于真实标签yk由数据给定,而输出值[插图]与hj均由前向传播算法计算得到,则可以轻易地计算得到每个中间层权重vkj,并且该计算过程可以并行进行。类似地,可以得到损失值在隐藏单元hj上的累积梯度为

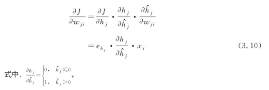
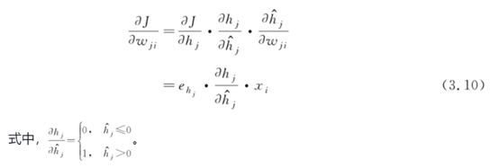
同理,可以通过链式法则,得到损失函数对第一层权重wji的梯度为(假设隐藏层激活函数为ReLU函数):

在上一步计算得到
后,
也可以高效并行地计算出。在上述过程中,假设了损失函数是均方差,激活函数为sigmoid和ReLU,其实这样的计算法则对任意可微的损失函数和激活函数都是有效的。从计算过程来看,在前向传播得到隐藏层与输出层数值后,先从损失函数算起,接着从顶层逐渐计算梯度,将梯度逐层往输入层传播。这与前向传播的顺序是相反的,也是该算法为什么被称为反向传播的原因。反向传播(见图3.5)得到所有参数的梯度之后,可以利用梯度下降算法对参数进行更新迭代,从而达到训练神经网络的目的。神经网络训练过程如算法3.1所示。

输入:数据集
,步长为α,小批量训练样本的大小为b,迭代次数为T
输出:训练完成的神经网络
(1) 初始化网络参数w0
(2) for t∈{1,2,…,T}
(3) 从m个样本中均匀随机无放回选取b个样本mb
(4) 前向传播逐层计算隐藏层的参数值,得到样本输出
(5) 根据损失函数计算误差,得到输出层梯度
(6) 反向逐层计算隐藏层梯度
(7) 计算连接参数梯度并更新参数

- 点赞
- 收藏
- 关注作者
评论(0)