线性回归的损失和优化(四)
假设房子例子,真实的数据之间存在这样的关系:
真实关系:真实房子价格 = 0.02×中心区域的距离 + 0.04×城市一氧化氮浓度 + (-0.12×自住房平均房价) + 0.254×城镇犯罪率
那么现在呢,我们随意指定一个关系(猜测)
随机指定关系:预测房子价格 = 0.25×中心区域的距离 + 0.14×城市一氧化氮浓度 + 0.42×自住房平均房价 + 0.34×城镇犯罪率
请问这样的话,会发生什么?真实结果与我们预测的结果之间是不是存在一定的误差呢?类似这样样子

既然存在这个误差,那我们就将这个误差给衡量出来
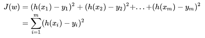
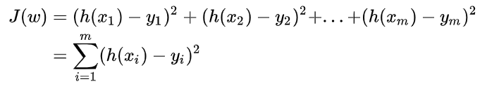
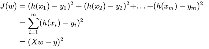
1 损失函数
总损失定义为:


如何去减少这个损失,使我们预测的更加准确些?既然存在了这个损失,我们一直说机器学习有自动学习的功能,在线性回归这里更是能够体现。这里可以通过一些优化方法去优化(其实是数学当中的求导功能)回归的总损失!!!
2 优化算法
如何去求模型当中的W,使得损失最小?(目的是找到最小损失对应的W值)
线性回归经常使用的两种优化算法
正规方程
梯度下降法
2.1 正规方程
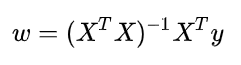
2.1.1 什么是正规方程

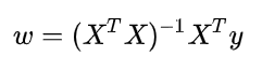
理解:X为特征值矩阵,y为目标值矩阵。直接求到最好的结果
缺点:当特征过多过复杂时,求解速度太慢并且得不到结果

2.1.2 正规方程求解举例
以下表示数据为例:

即:

运用正规方程方法求解参数:

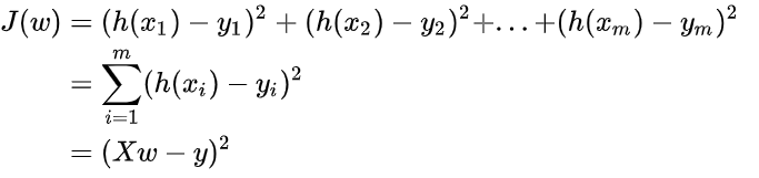
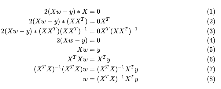
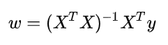
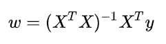
2.1.3 正规方程的推导
推导方式一:
把该损失函数转换成矩阵写法:

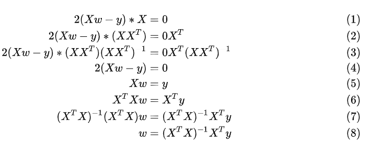
求导:

注:式(1)到式(2)推导过程中, X是一个m行n列的矩阵,并不能保证其有逆矩阵,但是右乘XT把其变成一个方阵,保证其有逆矩阵。
式(5)到式(6)推导过程中,和上类似。
- 点赞
- 收藏
- 关注作者
评论(0)