【5G关键技术】LS-MIMO简介(三)
下面介绍全维MIMO的信道模型FD代表全尺寸。因此,FD-MIMO代表全尺寸MIMO。那么,Full Dimension在这里意味着什么?这意味着天线系统可以在水平和垂直方向上形成光束(光束),以便它可以覆盖(聚焦)3D空间中的任何位置。下图将向您展示FD与传统多天线系统之间的对比图。

那么如何做LS-MIMO自适应算法呢?可分为FDD中CSI的获取和TDD中CSI的获取。
先来说说FDD中CSI的获取,当系统采用FDD模式时,上下行所需要的CSI是不同的。基站侧进行的上行信道估计需要所有用户发送不同的导频序列,此时上行导频传输需要的资源与天线的数目无关。然而,下行信道获取CSI时,需要采用两阶段的传输过程:第一阶段,基站先向所有用户传输导频符号,第二阶段,用户向基站反馈估计到的全部或者部分的CSI,此时传输下行导频符号所需要的资源与基站侧天线数目成正比。当采用Massive MIMO系统,基站侧天线数目增加大大增加了 CSI获取时占用的资源量。
在Massive MIMO系统中,系统所需的反馈信息量随着天线数目的增加成正比例增长,由此引发的系统反馈幵销增加以及反馈信息的准确性及时性降低已经成为FDD双工模式发展的瓶颈。因此,针对Massive M1MO系统FDD模式,最关键的问题,在于降低数据传输中反馈占用的资源量。
而TDD中CSI的获取,TDD可以利用信道互易性直接利用上行导频估计出信道矩阵,避免了大量的反馈信息需求。对于TDD系统这种消耗则与用户数量成正比。CSI获取的具体过程如下:首先,系统中所有的信道状态信息;接着基站使用估测到的信道状态信息检测上行数据并生成下行传的用户同时发送上行数据信号;随后用户发送导频序列,基站利用这些导频序列估计小区中用户输的波束赋形矢量。然而,由于多用户Massive MIMO系统中,基站侧天线数目及系统中用户数目都很多,使得相邻小区的不同用户对应的导频序列可能不完全正交,从而引入了用户间干扰,及导频污染问题。对于TDD传输模式,导频污染是限制其性能的重要因素之一,因而受到了国内外专家学者的广泛重视。
以下是基于大规模MU-MIMO下行链路系统的线性预编码性能。这是为了估计eNB的上行链路信道质量的质量。在直到LTE的大多数情况下,大多数信道估计是由UE侧使用由eNB发送的参考信号完成的,但是在Massive MIMO系统中,如果UE必须对此进行信道估计,则UE的开销将太大。很多天线,更严重
信道估计的一个重要事项是弄清楚如何在发送的子帧中分配参考信号。其中,上行链路子帧中的参考信号被分配如下。

通过通道矩阵和参考信号,您可以为该系统编写通道模型,如下所示。每当您看到任何通道模式(系统方程)时,首先检查每个矩阵和向量的维度,并尝试理解矩阵的每个列和行的含义。那么你就可以很好地理解系统方程的含义。(在信道矩阵H中,行数对应于Rx天线的数量,列数对应于Tx天线的数量)。

从简化的系统公式中,您可以为每个天线写入接收信号的公式,如下所示。

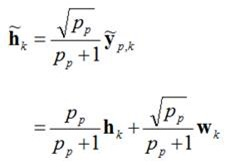
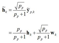
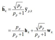
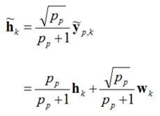
假设基站正在使用MMSE信道估计,则每个信道矢量(从一个发射机天线到所有接收机天线的矢量)可以描述如下。如果不参考其他参考文献,很难理解如何得出这一点。

- 点赞
- 收藏
- 关注作者
评论(0)