线性回归简介(一)
线性回归简介
1. 线性回归应用场景
房价预测
销售额度预测
贷款额度预测
举例:

2. 什么是线性回归
定义与公式
线性回归(Linear regression)是利用回归方程(函数)对一个或多个自变量(特征值)和因变量(目标值)之间关系进行建模的一种分析方式。
特点:只有一个自变量的情况称为单变量回归,多于一个自变量情况的叫做多元回归。
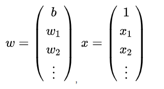
通用公式 :

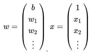
其中w,x 可以理解为矩阵:

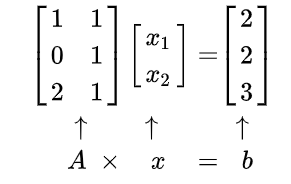
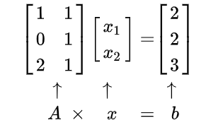
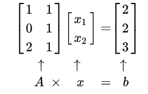
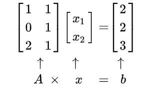
线性回归用矩阵表示举例:

写成矩阵形式:

从列的角度看:

怎么怎么理解呢?我们来看几个例子
期末成绩:0.7×考试成绩+0.3×平时成绩
房子价格 = 0.02×中心区域的距离 + 0.04×城市一氧化氮浓度 + (-0.12×自住房平均房价) + 0.254×城镇犯罪率
上面两个例子,我们看到特征值与目标值之间建立了一个关系,这个关系可以理解为线性模型。
线性回归的特征与目标的关系分析
线性回归当中主要有两种模型,一种是线性关系,另一种是非线性关系。在这里我们只能画一个平面更好去理解,所以都用单个特征或两个特征举例子。
线性关系
单变量线性关系:

多变量线性关系:

非线性关系:

- 点赞
- 收藏
- 关注作者
评论(0)