线性回归简介(一)
【摘要】 线性回归简介 1 .线性回归应用场景 房价预测 销售额度预测 贷款额度预测 2 什么是线性回归 2.1 定义与公式 线性回归(Linear regression)是利用回归方程(函数)对一个或多个自变量(特征值)和因变量(目标值)之间关系进行建模的一种分析方式。 特点:只有一个自变量的情况称为单变量回归,多于一个自变量情况的叫做...
线性回归简介
1 .线性回归应用场景
房价预测
销售额度预测
贷款额度预测
2 什么是线性回归
2.1 定义与公式
线性回归(Linear regression)是利用回归方程(函数)对一个或多个自变量(特征值)和因变量(目标值)之间关系进行建模的一种分析方式。
特点:只有一个自变量的情况称为单变量回归,多于一个自变量情况的叫做多元回归。
通用公式 :![]()
其中
,
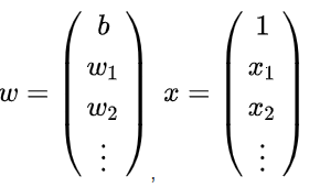
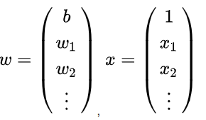
可以理解为矩阵: 
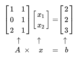
线性回归用矩阵表示举例:
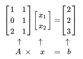
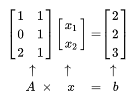
写成矩阵形式:
从列的角度看:
上面两个例子,我们看到特征值与目标值之间建立了一个关系,这个关系可以理解为线性模型。
2.2 线性回归的特征与目标的关系分析
线性回归当中主要有两种模型,一种是线性关系,另一种是非线性关系。在这里我们只能画一个平面更好去理解,所以都用单个特征或两个特征举例子。
线性关系
单变量线性关系:

多变量线性关系:

非线性关系:

【声明】本内容来自华为云开发者社区博主,不代表华为云及华为云开发者社区的观点和立场。转载时必须标注文章的来源(华为云社区)、文章链接、文章作者等基本信息,否则作者和本社区有权追究责任。如果您发现本社区中有涉嫌抄袭的内容,欢迎发送邮件进行举报,并提供相关证据,一经查实,本社区将立刻删除涉嫌侵权内容,举报邮箱:
cloudbbs@huaweicloud.com
- 点赞
- 收藏
- 关注作者
评论(0)