2020-08-25:BloomFilter的原理以及Zset的实现原理。
【摘要】 福哥答案2020-08-25:布隆过滤器:哈希+位图。布隆过滤器重要的三个公式1.假设数据量为n,预期的失误率为p(布隆过滤器大小和每个样本的大小无关)。2.根据n和p,算出BloomFilter一共需要多少个bit位,向上取整,记为m。3.根据m和n,算出BloomFilter需要多少个哈希函数,向上取整,记为k。4.根据修正公式,算出真实的失误率p_true。Zset:ziplist和s...
福哥答案2020-08-25:
布隆过滤器:哈希+位图。
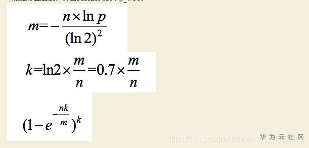
布隆过滤器重要的三个公式
1.假设数据量为n,预期的失误率为p(布隆过滤器大小和每个样本的大小无关)。
2.根据n和p,算出BloomFilter一共需要多少个bit位,向上取整,记为m。
3.根据m和n,算出BloomFilter需要多少个哈希函数,向上取整,记为k。
4.根据修正公式,算出真实的失误率p_true。

Zset:ziplist和skiplist。
同时满足以下条件时使用ziplist编码:
1.元素数量小于128个。
2.所有member的长度都小于64字节。
【声明】本内容来自华为云开发者社区博主,不代表华为云及华为云开发者社区的观点和立场。转载时必须标注文章的来源(华为云社区)、文章链接、文章作者等基本信息,否则作者和本社区有权追究责任。如果您发现本社区中有涉嫌抄袭的内容,欢迎发送邮件进行举报,并提供相关证据,一经查实,本社区将立刻删除涉嫌侵权内容,举报邮箱:
cloudbbs@huaweicloud.com
- 点赞
- 收藏
- 关注作者
评论(0)