伪文艺程序员的“迁移学习”啃读(D)
领域自适应(Domain Adaptation)是迁移学习(Transfer Learning)的一个子领域,在计算机视觉里面较为常见。Domain Adaptation的实现有很多种,在深度学习未火热之前,主要有基于样本(Instance-based)的迁移、基于特征(Feature-based)的迁移以及基于参数(Parameter-based)的迁移。其中基于特征的迁移包括子空间对齐(Subspace Alignment)以及最小化分布距离比如MMD等方法。本文介绍基于自编码器(Auto Encoder)的方法。
Auto Encoder目前有很多变种,其中最为知名的是Denoising Auto Encoder和Variational Auto Encoder,分别简称为DAE和VAE,在2014年之前基本都是基于DAE的相关工作。本文围绕两篇关于Auto Encoder来做Domain Adaptation的论文来介绍。
A
在第一篇工作里面,主要有以下几个点值得学习的地方:
为什么可以使用Auto Encoder来做Domain Adaptation?
衡量迁移性能的指标?
下面来看第一个问题,为什么可以使用Auto Encoder来做Domain Adaptation。首先,回顾一下什么是Domain Adaptation。在机器学习的经典假设中,测试集的数据和训练集的数据是同分布采样得到的,然而实际问题中往往存在分布变化的情况,比如在2010年训练的情感识别(Sentiment Classification)模型不能直接用于2012年的数据,因为随着时间的变化会出现很多热点词语;在电商领域,不同商品评论的情感表达不一样,比如在厨房家电商品中常用的情感词为“耐用”、“可靠”等,在DVD商品的评论里面常用的情感词为“好看”、“恐怖”等等,因此在不同商品对应的评价数据上训练的模型不能直接互相使用。
用一张图展示Domain Adaptation,如下图。在分布未对齐之前(左边),在源领域(Source Domain)有一个二分类问题,用红色表示,在目标领域(Target Domain)则是另外一种分布,用蓝色表示,在SD上训练的分类器(虚线代表分类边界)并不适用于TD。但是经过对齐之后,两个数据之间的分布有了一定的对齐,此时Source和Target可以认为是同一分布采样的数据,那么在SD上训练的模型自然可以直接应用到TD,对应的是右边的图。
怎么样将分布对齐呢?有很多种方法,比如基于某个线性/非线性映射之后数据在同一空间的某个距离(比如MMD)最小。这里采用基于Auto Encoder的方法,本质上是通过非线性降维,使得源域和目标域的数据分布在同一个子空间里面。
文章中使用的是Denoising Auto Encoder,简称DAE,其数学形式为最小化:

其中
是经过噪声影响的数据,比如随机将一张图片中的某些元素置为零或者加高斯噪声等等;
是Encoder,其中有非线性激活函数,比如Tanh, Sigmoid, ReLU, LeakyReLU, Softplus等等;
是Decoder,将低维表示重构。损失函数可以采用MSE等等,最小化重构误差。
那么回到第一个问题,为什么Auto Encoder可以用来做Domain Adaptation?
首先,从Deep Learning的角度出发,深度学习的本质是学习特征,并且是有用的特征,如文章中解释,是:Intermediate concepts, Invariant properties, Underlying factors。其次,由于目标域上是无标签的,所以希望采用Unsupervised Deep Learning的方法来学习表示,那么最为常用的就是Auto Encoder。DAE在大量无标签的源域和目标域数据上进行学习低维表示,可以学习到一些潜在因子(Underlying factors),比如在商品评论中学习到“商品价值”、“服务质量”、“商品价格”等等潜在因素,这些因素在各种商品中都是通用的(Invariant properties)。因此对于厨房家电的评论数据和DVD的评论数据可能学习到如下的映射关系:
厨房家电:“可靠”、“耐用” --> 商品质量好
DVD : “好看”、“演技好”--> 商品质量好
那么,可以认为Source和Target在Auto Encoder的低维空间中分布对齐。具体做法是:将厨房家电的数据和DVD的数据放在一起无监督地使用Auto Encoder降维,得到对应的低维表示,然后在厨房家电的评论数据集上训练的模型就可以拿到DVD的评论数据上预测(模型建立在低维表示上)。
第二个问题,如何定义使用迁移之后的好坏?文中先定义了三种error,分别是:
Transfer error
:在Source上训练的模型到Target上的errorIn-domain error
: 在Target上训练的模型在自身上的errorBaseline In-domain error
: 在Target上使用Baseline模型训练得到的error
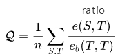
那么对于是否迁移,需要比较上面三者的关系,定义了Transfer ratio和In-domain ratio两个指标:
Transfer ratio :

In-domain ratio :

主要评价指标是Transfer ratio,如果Transfer ratio越小,则说明在迁移之后目标域Target上的error越小,因此迁移算法的性能越好。In-domain ratio是为了衡量相比较于baseline算法,使用其余算法带来的提升,没有涉及迁移,但是可以考虑不同算法带来的影响。
总结这篇文章,就是使用了Stacked Denoising Auto Encoder引入了非线性降维,将Source和Target的数据映射到同一子空间,提取共同的特征,然后训练测试。
B
在下一篇文章中,介绍的是Marginalized DAE在迁移里面的应用,上一篇工作里面是基于Stacked DAE,需要层级训练,过程比较麻烦。但是在这篇工作中,作者提出了mSDA,主要是引入了Denoising Auto Encoder的闭式解,从而使得代码非常简介。
首先回顾一下DAE的工作方式,最小化下面的损失:

如果将
用一个线性层简化,并且采用MSE作为损失函数,那么得到的就是下面的优化目标:

下面引入偏置bias,即
, ,那么优化目标是下面的式子,i 是样本的index:

对于
的实现方式是随机Mask掉一部分,每个元素按照概率 p 的可能性被设置为0。重复m次这样的随机策略,可以得到 m 次的优化目标:

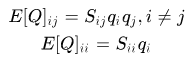
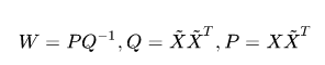
为了分析方便,记
,每一列是一个样本,记
为相应的Corrupted的数据,那么随机一次的优化目标的矩阵形式为:

上式有闭式解,得到:

当重复了 m 次之后,需要将矩阵扩充得到:
,以及 
,然后按照上面的
计算得到
。但是这样做具有随机性,不同的 m 得到的结果可能不一样,即便是同样大小的 m,也因为随机的Corrupt导致结果不一样,所以作者就取 
,此时得到的就是:

记
,根据概率计算可以得到下面的结果(具体参考论文,很简单),其中
,即 
中除了偏置bias不corrupt之外,其余元素均以p的概率被设置为0,保留下来的概率就是 1 - p:


最后贴上Matlab的伪代码:

总结一下这篇文章的工作,主要体现在Marginalized上面,即将随机噪声对图片进行Corrupt的过程利用期望积分掉了。文章数学形式很优美,算法很简单,代码只有几十行,并且实验验证效果还不错。
作者:李新春
————————
计算机软件新技术国家重点实验室
伪文艺程序员
既可提刀立码,行遍天下
又可调参炼丹,卧于隆中
- 点赞
- 收藏
- 关注作者





评论(0)