物联网常用传感器
1引言
软硬件技术的发展促进了物联网行业的飞速发展,而物联网的发展也使得传感器的应用也变得越来越广泛,二者相辅相成。首先我们需要知道什么是传感器,传感器在物联网中处于什么地位、扮演者什么角色呢?
2 传感器的简单定义
传感器是能一种监测所处环境中发生的事件或者变化,并将这些变化以特定的输入,如声、光、热、力、运动等,以显示的形式提供给用户可视化数据的设备,该类设备通常由敏感组件或转换组件组成,与计算机处理器组合使用。
3 传感器在物联网中的地位
传感器作为物联网的感知层设备,相当于人类的“五官”或者说是物联网的“神经末梢”,通过其对于所处环境的数据采集实现检测作用,将数据反馈给终端进行分析处理进而支持各种物联网应用。
4 传感器分类
下面简单介绍一些我使用过的传感器以及目前物联网较为常用的传感器。
4.1简单的测距传感器
在物联网刚入门的时候使用过两款测距传感器,成本很低的超声波测距传感器以及红外线传感器,当然红外传感器也有很多其他的应用。
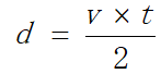
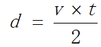
(1)超声波传感器是利用超声波遇到物.体可以产生显著反射从而形成回波等特性研制而成的一种可以将超声波信号转换为其他能量信号的传感器[12]。其工作原理如下:超声波传感器主要由发送传感器,接收传感器,控制部分以及电源四部分构成。超声波传感器的工作原理,主要是采用超声波测距中的时间差测距法。首先由发送传感器将电能转换为机械能以超声波形式向某一方向发送超声波,在发射的同时开始计时,之后超声波将沿着某一直线定向传播,当超声波在空气中传播遇到分界面时会产生显著反射,当接收传感器接收到回波时计时停止[14]。超声波在空气中的传播速度设为v,传播时间设为t,由于超声波发送器与接收器之间距离较近,所以反射角较小,可忽略不计。则超声波传感器与障碍物之间的距离d可由公式得出。

由于超声波是一种声波,因此在实际应用环境中,其传播速度会受到温度、湿度以及压强等因素影响,其中温度影响尤为明显,常使用温度补偿法加以规避。

(2)红外线测距传感器
红外线测距传感器利用红外线与障碍物之间距离的不同产生不同反射的强度的原理,进行对传感器与障碍物之间距离的测量。红外线测距传感器由红外发射器以及CCD检测器构成,它的测距主要是基于三角测量原理[20]。红外线测距传感器测量原理具体如图2.3所示。

首先需要红外发射器以一定角度向外发射红外光束,当其遇到障碍物之后会反射回来,当反射光束被CCD检测器检测到后,会获得一个偏移量L,如果同时再已知发射角α,中心距X,光速c,滤镜焦距f之后,利用三角几何关系就可以很容易求得传感器到障碍物的距离D,具体如下式所示。

4.2 温湿度传感器
曾使用过温湿度传感器SHT30,该传感器主要采用热电偶方法测量温度,当工作端与自由端温度不同从而产生热电动势,经过电路转化将电压变化传送到MCU。使用是使用沉积在两个导电电极上的聚胺盐或醋酸纤维聚合物薄膜,当空气中的水蒸气吸附在薄膜上时,会改变两个电极间的介电常数。
4.3 光照传感器
光照传感器内部通常包括光敏二极管、运算放大器、ADC采集、晶振等组成如曾使用过的BH1750传感器,其主要原理为PD二极管通过光生伏特效应将输入光信号转换成电信号,经运算放大电路放大,由ADC采集电压,然后通过逻辑电路转换成16位二进制数存储在内部的寄存器中,即光照强度越高,电压值越大。
4.4 运动传感器
我曾使用的运动传感器包括三轴加速度计,地磁计,陀螺仪。三轴加速度计主要采用加速度原理来测量三维空间加速度,x,y,z三个轴向。地磁计是检测地球磁力的传感器,一般用来通过检测地磁来检测方向,也被成为“电子罗盘”。陀螺仪是一种基于角动量守恒理论用来感测和维持方向的装置,由一个位于轴心且可旋转的转子构成。常用于导航、定位系统,我们使用的手机中也内置了陀螺仪。
4.5 压力传感器
压力传感器是能感受压力信号并将压力信号转换成可用的输出的电信号的器件。
4.6 气体传感器
该类型传感器主要用于检测空气中某种气体的浓度,常用于检测有毒气体判断环境是否适合人类生存,如二氧化硫、一氧化氮、一氧化碳传感器。当然也有一些检测二氧化碳浓度、空气污染之类的传感器。
当然除了上述传感器,还有其他很多类型的传感器、如图像传感器、化学传感器、声音传感器、液位传感器等。
5传感器的发展趋势
(1) 高精度:随着应用对于准确度以及精度的要求,未来传感器势必会朝着更高的进度要求发展
(2) 微型化、低功耗:随着物联网设备的微型化,功耗的要求越来越严格,传感器也会朝着该方向不断进步。
(3) 高可靠性以及安全性:传感器的可靠性直接影响到产品的用户体验,因此抗扰性强,可以适应多种严苛环境的传感器发展也是必然趋势。
- 点赞
- 收藏
- 关注作者
评论(0)