智慧交通中绿波协调
1. 绿波协调基本介绍
道路相交的路口通常需要信号灯来分配道路的使用权,以单个路口为对象进行配时控制,成为单路口信号灯控制,进一步地,一条道路上可能有多个交叉口,如图一所示,若以多路口为研究对象,考虑车辆在多个路口可以不停车通过,这就是多路口的绿波协调。路口之间的协调,最重要的就是协调相位的绿灯启亮时间差,也就是相位差。进一步地,绿波协调可以分为单向协调和双向协调,下面对这两种协调方式作简单地介绍。

图1.多路口示意图
2.单向协调
单向协调是指只考虑沿道路的某个方向进行协调,比如南向北的方向。直观上,单向协调比较好理解,其相位差也比较好计算,如下式所示:
offset = L/v
其中L表示路口之间的道路长度,v是车辆的行驶速度。上面的计算公式没有考虑路口车辆的排队长度,如果有排队长度,还是按照上式来设置相位差,则上游路口的车辆会“撞上”下游排队车辆的车尾,导致协调失效。这时,若上游车辆还是想不停车通过下游路口,那么久首先需要下游路口清空排队长度,那么相位差的设置就变为:
offset=L/v - tau![]()
其中,
tau是下游路口清空排队车辆的时间。
3.双向协调

图2. 双向绿波协调示意图
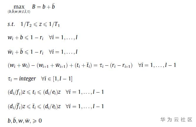
双向协调是指通过设定一个相位差,让道路的两个行进方向上都有绿波协调效果,如图3所示。求解双向协调相位差的方法相对来说比较复杂,比较经典的有图解法、数解法以及数学规划方法,其中图解法和数解法是比较经典的算法,是基于同步式和交互式协调的算法,利用这两种算法有比较强的前提条件,例如交叉口的相位必须采用对放相位等。利用数学规划来求解双向绿波相位差的方法,比较经典的有MAXB
AND方法、Multi-band方法等,这些方法都以最大绿波带宽为优化目标,这些方法被业界广泛采用,可以根据实际情况对原始的规划模型进行修改与拓展,灵活性高。下面是MAXBAND方法的具体数学规划模型,是一个MILP模型。



- 点赞
- 收藏
- 关注作者
评论(0)