《Python人脸识别:从入门到工程实践》 ——3.5.2 旋转
【摘要】 本节书摘来自华章计算机《Python人脸识别:从入门到工程实践》 —— 书中第3章,第3.5.2节,作者是王天庆 。
3.5.2 旋转
我们在上面接触到的平移是一种非常简单的线性变换过程,而旋转也是一个线性变换过程。

图3-11 坐标点旋转演示
如图3-11所示,在平面直角坐标系中,存在某一点A,我们想要将点A移动到点B的位置,该如何操作呢?
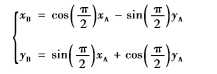
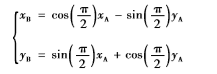
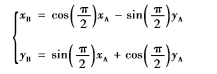
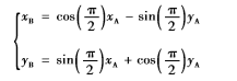
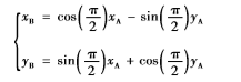
将点A旋转到点B,我们可以用下面的式子表示这个旋转过程:

更一般地,我们可以归纳出使点A旋转到点B的数学公式:

yA我们可以看到,图像旋转是一个矩阵相乘的过程。
【版权声明】本文为华为云社区用户转载文章,如果您发现本社区中有涉嫌抄袭的内容,欢迎发送邮件进行举报,并提供相关证据,一经查实,本社区将立刻删除涉嫌侵权内容,举报邮箱:
cloudbbs@huaweicloud.com
- 点赞
- 收藏
- 关注作者
评论(0)