《Python人脸识别:从入门到工程实践》 ——3.5 图像的几何变换
3.5 图像的几何变换
图像的几何变换就是指在不改变图像原有内容的基础上,将图像的像素空间位置进行改变,以达到变换图像中像素点位置的目的。图像的几何变换一般包括图像空间变换和插值运算,常见的变换运算包括平移、旋转、缩放等。
3.5.1 平移
图像的平移比较容易理解,这与我们在实际生活中将物体搬移是一个道理。我们可以想象,图像是由若干个像素点组成的,对于彩***像来说,这个像素点是包含了RGB 3种颜色的;对于灰度图像来说,就是一个简单的矩阵,这个矩阵中某一个元素的数值就是图像中该像素点的灰度值。我们演示一下图像平移的过程,如图3-9所示。

图3-9 图像平移过程演示
图3-9演示的是某一个4行4列共计16个像素点的灰度图像向右下角平移一个单位之后的过程。我们可以看到,图3-9a中是一个完整的字母Z的图形,在向右下角平移一个单位的时候,由于图像尺寸的限制,在图3-9b中位于阴影区域外部的像素点必然会被丢弃。在图3-9c中,我们使用灰度值为0的像素点来填补空白部分,这个过程就是图像的平移过程。
我们可以看到,在图像进行平移的过程中,必然会造成某些像素点的丢失,同时,也会导致图像中产生空白区域,空白区域我们可以自己指定像素进行填充。当然,我们也可以选择先扩展图像的画布,然后再进行平移,这样只会引入一些空白部分,而不会导致像素点的丢失。我们通过图3-10来展示对图像进行平移后的效果。
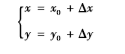
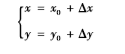
我们可以看到,对图像进行平移操作其实就是对图像中的各个像素点进行平移操作,或者说对其坐标轴进行移动。我们用下面的式子来表述这个数学过程:

图3-10 图像平移效果
将其用矩阵的形式来表示,就可以表示为:

可以看到,这个过程是一个非常简单的线性变换过程,只需进行矩阵的加法运算即可。
- 点赞
- 收藏
- 关注作者
评论(0)