《Python人脸识别:从入门到工程实践》 ——2.3 距离度量
【摘要】 本节书摘来自华章计算机《Python人脸识别:从入门到工程实践》 —— 书中第2章,第2.3.1节,作者是王天庆 。
2.3 距离度量
试想一下,如果我们比较数值之间的相似性,常数1与2的相似性大还是常数1与100之间的相似性大?或许我们大家都会异口同声地说:1与2之间的相似性大。因为,我们是根据二者之间的数值差更小来判断并得出的结论。
那么对于向量来说,是否也存在衡量二者相似性的一种方法呢?当然有!那就是衡量两条向量之间的距离。这么做有一个非常重要的原因:我们可以将某一张图片通过特征提取来转换为一个特征向量。那么如何衡量两张图片的相似度呢?那就可以通过衡量这两张图片对应的两个特征向量之间的距离来判断了。而这里所说的距离度量,就为我们提供了一种衡量两个或多个向量之间相似度的方法。
2.3.1 欧式距离
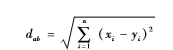
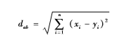
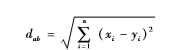
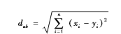
欧式距离可以简单理解为两点之间的直线距离。对于两个n维空间点a=(x1,x2,…,xn)和b=(y1,y2,…,yn),它们之间的欧式距离定义如下:


图2-1 三维空间中边长为1的立方体
在三维空间中的边长为1的一个立方体,它的对角线之间的距离为3,如图2-1所示。这个距离值就是欧氏距离,也就是我们平时说得最多的“距离”。
在图2-1中,若以A点为坐标原点建立空间直角坐标系,那么A点的位置为(0,0,0),B点的位置为(1,1,1),则A点与B点之间的距离也就是AB的模长,也即是:

【版权声明】本文为华为云社区用户转载文章,如果您发现本社区中有涉嫌抄袭的内容,欢迎发送邮件进行举报,并提供相关证据,一经查实,本社区将立刻删除涉嫌侵权内容,举报邮箱:
cloudbbs@huaweicloud.com
- 点赞
- 收藏
- 关注作者
评论(0)