《Python人脸识别:从入门到工程实践》 ——2.1.2 行列式
【摘要】 本节书摘来自华章计算机《Python人脸识别:从入门到工程实践》 —— 书中第2章,第2.1.2节,作者是王天庆 。
2.1.2 行列式
行列式是一个以方阵为变量的函数,它的数学定义为:

记作det(Ann)或者Ann,称作n阶行列式。其中a1k1a2k2…ankn表示n个不同行不同列的元素的乘积。τ(k1k2…kn)表示为排列k1k2…kn中的逆序总数。若ki>kj,i,j∈{1,2,…,n},则称为一个逆序。
行列式的基本性质如下。
(1)
这条性质是说:矩阵乘积的行列式等于矩阵行列式的乘积。听起来比较拗口,可能公式更容易理解。我们在上面的式子中可以观察到,对于两个矩阵A与B来讲,其相乘之后的矩阵的行列式数值与分别求这两个矩阵的行列式然后乘积的结果是相同的。
(2)
这条性质是说:行列式中如果某一行或者某一列中所有的元素都同时乘以一个常数λ,则相当于该行列式的计算结果乘以λ。那么,对于n阶梯行列式来说,如果行列式中所有的元素都同时乘以某一个常数,最终也就相当于行列式的结果乘以λn。
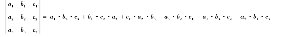
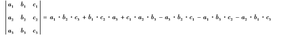
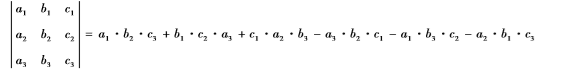
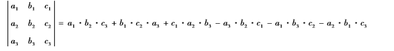
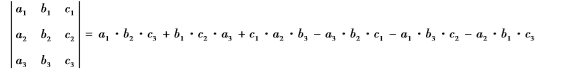
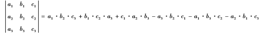
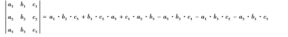
通过行列式计算,可以将方阵计算为一个具体的标量数值,这个数值可以看作这个方阵的一个性质,我们可以将计算行列式的过程类比为一个带入具体公式的计算过程。例如,我们计算下面这个方阵的行列式过程如下:

对上述方阵求解行列式的过程叫作求解三阶行列式,因为其是一个三阶的矩阵。对于高阶行列式的求解,我们不推荐使用手工计算的方式,一般使用专业的科学计算工具进行计算,例如科研中常用到的MATLAB工具或者我们后面将要讲解到的Python的科学计算库等。
【版权声明】本文为华为云社区用户转载文章,如果您发现本社区中有涉嫌抄袭的内容,欢迎发送邮件进行举报,并提供相关证据,一经查实,本社区将立刻删除涉嫌侵权内容,举报邮箱:
cloudbbs@huaweicloud.com
- 点赞
- 收藏
- 关注作者
评论(0)