《Python 3.x入门到应用实践》 — 2.5 数据类型转换
2.5 数据类型转换
对于表达式中不同类型之间进行运算的要求,我们可以“暂时性”地转换数据的类型,就是必须强制转换数据类型。Python语言中强制转换数据类型的内建函数有以下三种。
1. int():强制转换为整数数据类型
例如:
x = "5"
num = 5 + int(x)
print(num) #结果:10
变量x的值是"5",是字符串类型,所以先调用int(x)转换为整数类型。
2. float():强制转换为浮点数数据类型
例如:
x = "5.3"
num = 5 + float(x)
print(num) #结果:10.3
变量x的值是"5.3",是字符串类型,所以先用float(x)转换为浮点数类型。
3. str():强制转换为字符串数据类型
例如:
x = "5.3"
num = 5 + float(x)
print("输出的数值是 " + str(num)) #结果:输出的数值是 10.3
在上述程序语句中,print()函数里面的“输出的数值是 ”这一串文字是字符串类型,“+”号可以将两个字符串相加,变量num是浮点数类型,所以必须先调用str()函数将其转换为字符串。
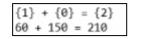
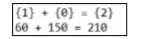
【范例程序:conversion.py】 数据类型转换
01 str = "{1} + {0} = {2}"
02 a = 150
03 b = "60"
04 print(str.format(a, b, a + int(b)))
程序的执行结果如图2-10所示。

图2-10
程序代码解析:
第01行:由于b是字符串,先指定它的显示格式,注意大括号“{}”的数字编号顺序是{1}、{0}、{2},因此变量a与b显示的顺序与format里的参数顺序不同。
第04行:先调用int()把b转换为整数类型,再进行计算。
- 点赞
- 收藏
- 关注作者
评论(0)