深度残差收缩网络:深度残差网络、注意力机制和软阈值化的深度集成
深度残差网络(deep residual network, ResNet)是一种非常经典的深度学习方法,到目前为止,在谷歌学术上的引用量已经达到了37077次。
深度残差收缩网络(deep residual shrinkage network)是 ResNet 的一种改进,实际上是 ResNet、注意力机制和软阈值化的深度集成,在深度神经网络的内部消除不重要的(或者与噪声相关的)特征,加强深度神经网络从强噪信号中提取有用特征的能力。
1. 动机
首先,在很多机器学习的任务中,样本中经常会包含一些噪声,比如高斯噪声、pink 噪声、Laplacian 噪声等。更广义地讲,很多样本经常包含着与当前机器学习任务不相关的信息。
举例来说,在许多情况下,要进行分类的图片,除了含有与标签所对应的目标物体,还包含着一些与标签无关的物体。这些与标签无关的物体,就可以理解为一种噪声。这些无关物体所对应的特征,就是需要被删除的,从而避免对当前的任务造成影响。或者说,在马路边聊天的时候,聊天的声音里就可能会混杂车辆的鸣笛声、车轮声等等。当对这些含噪的声音信号进行语音识别的时候,识别效果不可避免地会受到鸣笛声、车轮声的影响。这些鸣笛声、车轮声所对应的特征,就应该在深度神经网络内部被删除掉,以避免对语音识别的效果造成影响。
然后,在同一个样本集中,每个样本所含的噪声量通常是不一样的。
例如,在训练猫狗分类器的时候,对于标签为“狗”的 5 张训练图像,第 1 张图像可能同时包含着狗和老鼠,第 2 张图像可能同时包含着狗和鹅,第 3 张图像可能同时包含着狗和鸡,第 4 张图像可能同时包含着狗和驴,第 5 张图像可能同时包含着狗和鸭子。我们在训练猫狗分类器的时候,就不可避免地会受到老鼠、鹅、鸡、驴和鸭子等无关物体的干扰,造成分类准确率下降。如果我们能够注意到这些无关的老鼠、鹅、鸡、驴和鸭子,将它们所对应的特征删除掉,就有可能提高猫狗分类器的准确率。
2. 软阈值化
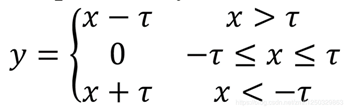
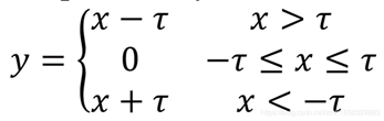
软阈值化,从数学上来讲,就是将绝对值小于某个阈值的特征置为零,将绝对值大于这个阈值的特征朝着零的方向进行收缩。它具体的公式为

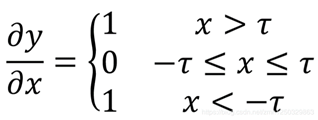
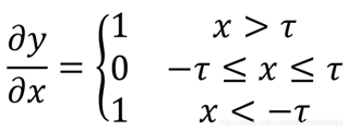
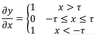
软阈值化的导数为

从以上公式可知,软阈值化的导数要么是 1,要么是 0。这个性质是和 ReLU 激活函数是相同的。因此,软阈值化也能够减小深度学习算法遭遇梯度弥散和梯度爆炸的风险。
同时,在软阈值化函数中,阈值的设置必须符合两个的条件:
第一,阈值是正数;
第二,阈值不能大于输入信号的最大值,否则输出会全部为零。
同时,阈值最好还能符合第三个条件:
第三,每个样本有着自己独特的阈值。
这是因为,很多样本的含噪程度经常是不同的。例如,样本 A 含噪较少,样本 B 含噪较多。那么,如果是在降噪算法里面,样本 A 就应该采用大一点的阈值,样本 B 就应该采用小一点的阈值。在深度神经网络中,虽然这些特征和阈值没有明确的物理意义、,但是道理还是相通的,也就是说每个样本应该有自己独特的阈值。
3. 注意力机制
注意力机制在图像处理领域是很容易理解的。 比如说,我们人可以快速扫描视觉全局区域,发现感兴趣的目标物体,进而把大部分的注意力集中在感兴趣的物体上,以提取更多的细节,同时抑制无关物体的信息。
Squeeze-and-Excitation Network(SENet)是一种较新的具有注意力机制的深度学习方法。 在很多的样本中,不同的特征通道,在分类或者其他任务中的贡献程度,往往是不同的。SENet 采用一个小型的子网络,获得一组权重,进而将这组权重与各个通道的特征分别相乘,以调整各个通道特征的大小。这个过程,就可以认为是在施加不同大小的注意力在各个特征通道上。

在这里,每一个样本,都有着自己独立的一组权重。任意的两个样本,它们的权重,都不一样。在 SENet 中,获得权重的具体路径是,“全局池化 →全连接层 → ReLU 函数 →全连接层 → Sigmoid 函数”。

深度残差收缩网络就借鉴了这个子网络,来自动设置软阈值化的阈值。

通过红色框内的子网络,可以获得一组阈值。这组阈值可以被应用在各个特征通道上。
在这个子网络中,首先对输入特征图的所有特征,求它们的绝对值。然后经过全局均值池化和平均,获得一个特征,记为 A。在另一条路径中,全局均值池化之后的特征图,被输入到一个小型的全连接网络。这个全连接网络以 Sigmoid 函数作为最后一层,将输出归一化到 0 和 1 之间,获得一个系数,记为α。最终的阈值可以表示为α × A。因此,阈值就是,一个 0 和 1 之间的数字 ×特征图的绝对值的平均。通过这种方式,保证了阈值为正,而且不会太大。
值得指出的是,在这种网络结构下,不同的样本就会有不同的阈值。在某种程度上,这也理解成一种特殊形式的注意力机制:注意到不重要的特征,将它们转化为接近于零的值,进而置为零;或者说,注意到重要的特征,将它们转化为远离零的值,并且将它们保留下来。
4. 通用性
深度残差收缩网络事实上是一种通用的数据分类方法。 也就是说,深度残差收缩网络不仅可以用于基于振动信号的机械故障诊断,而且可以用于很多其他的分类任务,比如图像和语音。在图像分类时,如果图片中还存在着很多其他的物体,那么这些物体就可以被理解成“噪声”;深度残差收缩网络或许能够借助注意力机制注意到这些“噪声”,然后借助软阈值化将这些“噪声”所对应的特征置为零,从而提高图像分类的准确率。在语音识别时,如果是在环境比较嘈杂的环境里,比如在马路边聊天的时候,深度残差收缩网络也许可以提高语音识别的效果,或者给出了一种提高语音识别效果的思路。
5. 原文网址
M. Zhao, S. Zhong, X. Fu, et al., Deep residual shrinkage networks for fault diagnosis, IEEE Transactions on Industrial Informatics, DOI: 10.1109/TII.2019.2943898
- 点赞
- 收藏
- 关注作者
评论(0)