《计算思维与算法入门》 —2.7.3 树转化为二叉树的算法
【摘要】
本节书摘来自华章计算机《计算思维与算法入门》一书中第2章,第2.7.3节,作者是赵军 等。
2.7.3 树转化为二叉树的算法
对于将一般树结构转化为二叉树,使用的方法称为“Child-Sibling”(Leftmost-Child-Next-Right-Sibling,左儿子右兄弟表示法)法则。以下是其执行步骤:
(1)将节点的所有兄弟节点用横线连接起来。
(2)只保留与最左子节点的连接,删掉其他所有与子节点间的连接。
(3)右子树都顺时针旋转45度。
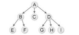
按照下面的范例实践一次,就可以有更清楚的认识。转化前的多叉树如图2-61所示。

图2-61 将此多叉树转化为二叉树
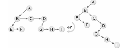
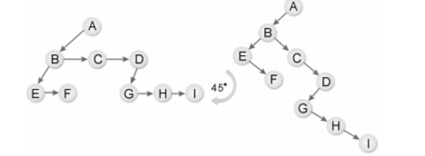
将树的各层兄弟用横线连接起来,如图2-62所示。

图2-62 将各层兄弟用横线连接起来
只保留最左边的父子节点的连接,删掉其他所有子节点间的连接,如图2-63所示。

图2-63 只保留最左边的父子节点的连接
右子树都顺时针旋转45度,如图2-64所示。

图2-64 顺时针旋转45度
【版权声明】本文为华为云社区用户转载文章,如果您发现本社区中有涉嫌抄袭的内容,欢迎发送邮件进行举报,并提供相关证据,一经查实,本社区将立刻删除涉嫌侵权内容,举报邮箱:
cloudbbs@huaweicloud.com
- 点赞
- 收藏
- 关注作者
评论(0)