《5G NR物理层技术详解:原理、模型和组件 》 —3.2.3 方向域

举报
华章计算机 发表于 2019/11/13 18:10:07 2019/11/13
【摘要】 本节书摘来自华章计算机《5G NR物理层技术详解:原理、模型和组件》一书中第3章,第3.2.3节,作者[瑞典]阿里扎伊迪(Ali Zaidi)弗雷德里克·阿斯利(Fredrik Athley)乔纳斯·梅德博(Jonas Medbo)乌尔夫·古斯塔夫松(Ulf Gustavsson)朱塞佩·杜里西(Giuseppe Durisi)[中]陈晓明,刘阳 李蕾 张增洁 译。

3.2.3 方向域

方向域与多普勒域直接相关:

         image.png    (3-21)

其中l是速度v和波矢量kl之间的角度。方向信息可以从多普勒信息中的矢量k获得:

          image.png   (3-22)

其中u是方向单位矢量。实际中,通过对三维空间信道样本进行傅里叶变换,可以获得相应的方向谱,如下面3.3.2.1节所述。

方向扩展通常用方位角和仰角(或极化角)的角度扩展来表征。但是因为角度扩展都是循环的和非欧几里得的,因此角度扩展存在问题。为了克服角度循环的问题,角度范围的切割可以放置在扩展最小的点上。另一个问题更为严重,即角度是非欧几里得变量。当通过方位角和仰角扩展来表征信道时,信道在坐标系的旋转下无法保持不变。

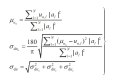
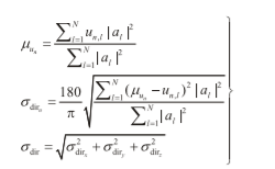
针对上述这些问题,参考文献[19]中提出了另一种方向扩展的定义。它基于三维归一化的多普勒扩展,当扩展很小时,等于角度扩展。方向扩展dir定义如下:

 

           image.png  (3-23)

其中n对应于三个空间分量(x, y, z),代表了相应方向的扩展。应该注意的是,总扩展dir相对于坐标系旋转是不变的。


【版权声明】本文为华为云社区用户转载文章,如果您发现本社区中有涉嫌抄袭的内容,欢迎发送邮件进行举报,并提供相关证据,一经查实,本社区将立刻删除涉嫌侵权内容,举报邮箱: cloudbbs@huaweicloud.com
  • 点赞
  • 收藏
  • 关注作者

评论(0

0/1000
抱歉,系统识别当前为高风险访问,暂不支持该操作

全部回复

上滑加载中

设置昵称

在此一键设置昵称,即可参与社区互动!

*长度不超过10个汉字或20个英文字符,设置后3个月内不可修改。

*长度不超过10个汉字或20个英文字符,设置后3个月内不可修改。