《5G NR物理层技术详解:原理、模型和组件 》 —3.2 传播信道特性
3.2 传播信道特性
了解无线传播信道的特性对开发无线传输技术至关重要。在接近自由空间的传播条件下(如微波链路),面临的主要挑战是如何确定直接路径的时变传输损耗。在这种情况下,损耗变化主要由降雨引起,因此降雨强度的概率是值得关注的。然而,蜂窝通信信道的特征基于散射环境、终端移动性和一些非静止的散射物体。因此,接收信号可能随时间和空间变化很大。而且,在蜂窝场景中,信号传播受到多径传播的影响,即接收到的信号是大量信号波的混合,在环境中被散射的信号波以不同的方向和时延到达接收端。对于多径信道,通常用一组在接收天线合并的离散(平面)波来建模。每个离散波是由从发射天线通过散射(直接路径除外)到达接收天线的路径决定。在典型的移动通信场景中,信道表征所需的路径数量可能非常大,可高达几万。对于在发射天线单元n和接收天线单元m之间信道Hmn的平面波展开,用数学公式表征为:
(3-7)
其中Al是N个平面波中第l个复极化幅度矩阵,gmrx(–klrx)和gnrx(kltx)是对应于波矢量klrx和kltx的复极化天线方向图矢量,rntx和rmrx是相对于天线参考点的接收和发射天线单元的位置矢量,是角频率( = 4f),l是发射和接收天线参考点之间的波传播时延,Dl是多普勒角频率,t是时间。天线方向图基于局部参考系来定义。因此使用固定局部坐标系(x,y,z,或极坐标r,f,)。基于固定参考系,使用额外的方向相关参考系来指定不同方向上相应的极化方向图分量。图3-4表示了方向相关参考系的坐标轴的定义,包括:指向方位角增加方向的单位矢量e1 =,仰角方向e2 = 坪桶刖对黾拥木嗬雃3 = 苧。自由空间传播并且使用单位增益天线的极化幅度由下式给出:
(3-8)
其中负号是由于接收机坐标系相对于发射机坐标系旋转了180度。发射天线和接收天线满足公式(3-4)中三种极化情况中的任何一种,信道增益将由下式给出:
(3-9)
正如预期的那样,对应于公式(3-5)给出的自由空间损耗Lbf。当接收天线极化方向与发射天线极化方向正交时,我们有:
(3-10)
公式(3-4)中,对应的正交极化由下式给出:
(3-11)

图3-4 局部天线参考系。极化坐标系由e1 =,e2 = 坪蚭3 = 苧给出
3.2.1 频率–时延域
公式(3-7)的信道响应定义在域,即它是无线频率兊暮S幸恢只ゲ沟牡刃Х椒ǎü诺赖某寮は煊(),即时延的函数,在时延域中来定义信道。这两个域之间的关系由相应的傅里叶变换给出:
(3-12)
无线数据传输使用了围绕特定载波频率f0的连续波调制。调制速度和相应的比特率与所用带宽B成正比。信道带限滤波器的特性决定了相应冲激响应的形状。这可以通过具有单个时延为正的多径分量的信道来示例,信道有一个均匀带通滤波器:
(3-13)
对于f0 = 2 GHz,B = 200 MHz和1= 10 ns的信道响应如图3-5所示。在通带中,由于载波频率?,产生h()的快速振荡是很明显的。而且,实际信道响应需要H(f)的正负频率。为方便起见,信道通常在基带来描述,即频率被转换为零均值,即f' = f – f0:
(3-14)

图3-5 通带和基带信道示例,载波频率为2 000 MHz,带宽为200 MHz。基带信道的功率是通带信道功率的两倍,以便于在时延域进行对比
在下文中,如果没有特别指出是通带的情况下,都将使用基带信道,挶硎净钠德省?
公式(3-14)中的均匀频率滤波器在时延域的主脉冲周围产生大量的振铃或旁瓣。通过选择不同的频率滤波器可以减轻此类影响,比如常用的Hann滤波器:
(3-15)

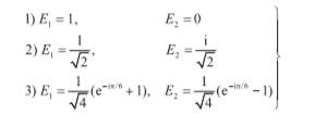
图3-6给出了均匀频率滤波器和Hann滤波器的信道响应。Hann滤波器的旁瓣明显小于均匀滤波器的旁瓣。
图3-6 均匀频率滤波器(图A和图C)以及Hann滤波器(图B和图D)的信道响应
当在频域中对信道建模时,会使用一些具有不同时延和不同幅度的不同波的总和,由此模拟环境中散射的结果。我们将通过典型的指数衰减信道来说明这一点:
(3-16)
其中fl是随机相位,是均方根(Root Mean Square,RMS)时延扩展,定义如下:
(3-17)
对于时延扩展明显大于1/B(B是带宽)的场景,即>1/B,信道具有频率选择性,意味着信号在该频带上衰减显著。图3-7中显示了对应于 = 20 ns和 = 100 ns时的信道。以及两种带宽配置,B = 10 MHz和B = 100 MHz,在时延域中应用Hann滤波来抑制旁瓣。由于时延域的分辨率与所用带宽成正比,因此在较大带宽下可以辨析更多的多径分量。如图3-7D所示,对于小于解析多径分量所需带宽的信道,在整个带宽上具有频率平坦性,这是一个重要的信道属性。通常表征频率选择性的度量是相干带宽,其定义为信道在一定程度上相关的带宽,相关性典型值是大于0.9。对于图3-7中的信道, = 100 ns对应的相干带宽为1 MHz, = 20 ns 对应的相干带宽为5 MHz。

图3-7 时延和频域中的信道响应:图A和图B中, = 100 ns;图C和图D中, = 20 ns;另外图A和图C中,B = 100 MHz;图B和图D中,B = 10 MHz
- 点赞
- 收藏
- 关注作者
评论(0)