视频基础知识3-视频编码
1.来源与定义说明
从数据源(比如摄像机或其他存储的视频片段)中获取到视频数据,再传输到终端(显示器端)进行播放,中间涉及一系列过程。其中最关键的过程是压缩(编码)和解压(解码译码),然后重建来进行显示。由于实际的传输和存储成本,需要将原始视频源通过编码等手段,将视频质量、编码时间和大小进行平衡,降低到以适合于传输或存储的最优大小(不影响真正的观看)。在这些过程中,压缩是从将视频信号中去除冗余的过程,也就存在了无损和有损压缩两个方法,但是无损方式压缩量有限,而有损压缩输出的视频与原始视频数据不完全相同。基于上面,也就不难得出视频压缩算法的目的了,就是实现有效的压缩,尽可能压缩又使得失真最小,即在上面三者中达到平衡。
视频的压缩过程是将源视频按三者要求进行压缩得到一个最优文件进行传输或存储;而相反的过程是将压缩后的视频通过解析算法,得出一个与原视频看着差不多内容(从终端角度看不出区别)的视频。这组算法,就是视频编解码器(Codec,编码器/解码器)。
所有的视频数据,最终在播放时才得到完全价值体现,而且不管哪个视频数据,都要从时间(帧的顺序)、关键内容(关键内容帧保留)、颜色亮度(最终渲染呈现)来进行考虑,缺了哪个环节,视频将无法进行正常的播放。
2.YUV颜色空间
颜色中最出名的是RGB颜色空间表示法了,它对这三种颜色采用相同的分辨率进行存储。但由于人类的视觉系统对于色差的敏感度较亮度低,因此就又了YUV颜色空间,存储的效率更高。视频采集芯片输出的码流一般都是YUV数据流的形式,而从视频处理(例如H.264、MPEG视频编解码),就是在原始YUV码流进行编码和解析,因此了解YUV就很重要了,尤其是在后续需要深度操控编码参数。
YCbCr等也称为YUV,分为三个分量:“Y”表示明亮度,也就是灰度值;“U”(即Cb)和“V”(即Cr) 表示的则是色度,作用是描述影像色彩及饱和度,用于指定像素的颜色。YUV的取样有如下几种:
1)4:4:4表示完全取样;
2)4:2:2表示2:1的水平取样,垂直完全采样;
3)4:2:0表示2:1的水平取样,垂直2:1采样;
4)4:1:1表示4:1的水平取样,垂直完全采样;
以上这些模式中,4:2:0取样模式是应用最广泛的,而4:4:4和4:2:2用于高质量颜色再现。
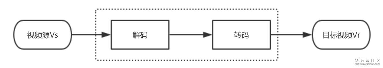
3.视频转码
在视频编码中,除了压缩,有时候需要对视频相关参数的修改再进行存储,这就是视频转码了。转码需要将视频源从一种格式到另一种格式转换输出,比如降低码率、封装格式,改变视频首部的描述信息,添加数字水印或者公司logo等。视频转码往往需要先解码再进行转码,即可由如下图进行描述。视频的编码和转码有许多相关的标准进行支撑。

4.视频压缩编码标准
有很多的编码标准,如MPEG系列等。这里也提出下AVS,这个之前了解的人比较有限,它是中国的音频和视频标准(Audio Video coding Standard,AVS),是一个高效的视频编码器,主要瞄准标清(Standard Definition,SD)和高清(High Definition,HD)视频压缩,旨在于实现于H.264/AVC类似的编码效率但是计算复杂度更低,由于它整体的语法结构于MPEG-2视频标准非常类似,可以容易地用在该系统中,MPEG-2目前应用最为广泛。接下去先只重点介绍目前应用最广泛的两个系列H26X和MPEG系列:
*H.26X系列
1)H.261:适用于视频会议
2)H.263:主要用在视频会议、视频电话和网络视频上
3)H.264:H.264/MPEG-4第十部分,或称AVC,是一种视频压缩标准。主要应用与有线广播、视频点播等场景。
4)H.265:高效率视频编码(简称HEVC)是一种视频压缩标准,H.264/MPEG-4 AVC的继任者。可支持4K、8192×4320(8K分辨率)
*MPEG系列
1)MPEG-1第二部分:主要使用在VCD,CD上,有些在线视频也使用这种格式
2)MPEG-2第二部分(等同于H.262,使用在DVD、SVCD和大多数数字视频广播系统中,如有线电视、视频编辑和存储
3)MPEG-4第二部分(可以使用在网络传输、广播和媒体存储上),如互联网电视视频等
5.国际视频编码标准年谱
针对视频的编码,提出了很多的标准,按上面描述的说法就是取得最优的视频大小。同时这些标准不仅规定了不同厂家之间的编码器和解码器之间的互操作。下图为国际视频编码标准年谱,引用自[视频编码全角度详解]。

- 点赞
- 收藏
- 关注作者
评论(0)