学习《7天晋级机器学习》-day1
一、 机器学习的模型评估
(一)、分类评估指标的计算
1、分类模型基本评估指标
分类模型评估指标可以定量的对模型的效果进行分析,对模型“准确率”进行准确的评估。
定义:假定一个二分类问题,标签是<0,1>两种。如果是一个多分类问题,则可以站在某一个类别标签的角度看待其它所有的
类别标签都可以归为“其它类”的范畴,将多分类转换为二分类。常见的评估指标有7个,如表所示:


说明:假定站在标签0的角度。
P:标签为0的样本个数
N:标签为1的样本个数
TP:标签为0且模型判定为0的样本个数
TN:标签为1且模型判定为1的样本个数
FP:标签为1且模型判定为0的样本个数
FN:标签为0且模型判定为1的样本个数
准确率:模型预测准确的概率
错误率:模型预测准确的概率
召回率:是目标列召回的比率。与之相对的是真负列率。
精度:对目标列预测的准确率
对于一个二分类模型,我们希望召回率和精度越大越好,
但在实际使用中,召回率大时,精度往往会降低。精度大时,召回率往往会降低。
因此综合了一个Fβ分数来评估二分类模型。当β=1是,我们得到了常用的F1指标,就是当精度和召回率权重相等时,对它的一个综合评估指标。
在实际的应用情况中,F1的应用是比较普遍的。但当某些特例的情况下,我们更偏重精度和召回率的某一方,这是我们可以调节β的大小,
来改变我们评估方式。
其他统计书籍中 关于分类算法的检验指标和工具:
混淆矩阵:是一种可视化的分类精度分析工具, 主要用于比较分类结果和实际测得值之
间的差异,如果一个实例是正类并且也被 预测成正类,即为真正类(True positive), 如果实
例是负类被预测成正类,称之为假正类(False positive)。相应地,如果实例是负类被预测成
负类,称之为真负类(True negative) ,正类被预测成负类则为假负类(false negative)。

准确(分类)率=正确预测的正反例数/总数
Accuracy=(TP+TN)/ALL
误分类率=错误预测的正反例数/总数
Error rate=(FP+FN)/ALL
正例的覆盖率=正确预测到的正例数/实际正例总数
Sensitivity(True Positive Rate, TPR)=TP/(TP+FN)
负例的覆盖率=正确预测到的负例数/实际负例总数
Specificity(True Negative Rate,TNR)=TN/(FP+TN)
2、分类基本评估指标的使用
分类模型评估指标的使用跟具体的业务场景相关,而且因为可以站在不同类别标签的角度去计算指标,这样就出产生(7ⅹ类别
个数)个基本评估指标,需要在具体的业务场景中进行分析。
业务场景举例1:银行判定贷款申请者有无风险。此业务场景下,银行既希望能够扩大贷款业务、又希望降低坏账风险,所以对
于“有风险”和“无风险”两种类别的判定评估都需要考虑,各项指标(错误率除外)都要尽可能的高。
业务场景举例2:某制造产线判定某生产设备有无故障。此业务场景下,首先要考虑的是故障的判定要准,所以以故障类别计算
的召回率要接近100%,在此前提下,specificity要尽可能的高,越高越好。
评估指标的使用原则:
1、确立标签重要性。要确定哪一个类别是要非常关注的类别。
2、重要类别的召回率、精度需要制定一个高的标准。比如必须达到xx%。
3、非重要类别的指标尽可能的高
3、分类模型其它评估指标
(1)混淆矩阵:当面临一个多分类问题,且每个类别的权重几乎等同时,利用混淆矩阵进行模型评估。


注:矩阵对角线上的值越大越好,其它位置的值越小越好
用人话来说,我们预测对的数越多越好,预测错的数越少越好。
(2)ROC曲线:当一些分类器(比如基于神经网络)给出的判定值并不是类别标签,而是一些数值,那么就需要给这些数值一个
阈值去产生类别,阈值不同,则类别判定结果不同,这样就产生了基于阈值的recall和(1-specificity),每一对这样的两个值
看做平面上的一个点,多个阈值产生的点相连就产生了ROC曲线。 ROC曲线越凸,表明模型效果越好。


图上每一个点,横坐标表示预测错的概率,纵坐标表示预测正确的概率。在0,1对角线左上方的点,实际意义就是预测对的概率大于预测错的概率,所以说,这个
曲线越凸效果越好。
(3) AUC值:AUC值为ROC曲线所覆盖的区域面积,AUC越大,分类器分类效果越好。
AUC = 1:是完美分类器,采用这个预测模型时,不管设定什么阈值都能得出完美预测。绝大多数预测的场合,不存在完美分类器。
0.5 < AUC < 1:优于随机猜测。这个分类器(模型)妥善设定阈值的话,能有预测价值。
AUC = 0.5:跟随机猜测一样(例:丢铜板),模型没有预测价值。
AUC < 0.5:比随机猜测还差;但只要总是反预测而行,就优于随机猜测。
(二)、回归评估指标的计算
1、回归评估指标的计算
典型回归方法有:
线性回归
KNN回归
分类回归树(基于平方误差)
……
常用的回归问题的评估指标有三个,分别是:
平均绝对误差( mean absolute error,MAE )

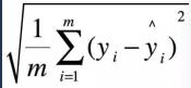
均方根误差(root mean squared error,RMSE)

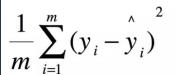
均方误差(Mean Squared Error,MSE)


2、回归评估指标的使用原则
回归评估指标计算的都是真实值和预测值之间的误差:
1、使用误差的方式从总体上来判断模型的好坏,原则是误差越小越好,那么这个“小”的程度需要提前规定。比如
“平均绝对误差不能超过真实值平均值的10%”,这就是一个程度规定,程度规定要根据具体场景具体制定。
2、可以使用“接受度”的概念将依据误差的评估进行转换,比如设定一个接受度的值为80%,即当预测值与真实值
之间的比值处于0.8-1.2之间则视为为“可接受”,然后设定一个可接受的样本数,比如“测试集中必须有90%以上
的样本达到可接受状态”,这样就相当于用分类评估的思想去处理回归评估。
3、可以根据实际场景的不同设定各种规则,以满足模型验收需求为前提。
- 点赞
- 收藏
- 关注作者
评论(0)